| 查看: 1414 | 回复: 2 | ||||
[交流]
求助:关于DMA曲线的分析 已有1人参与
|
|
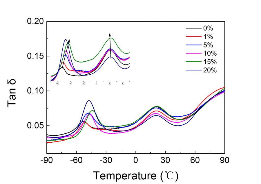
在做PP-EPR-SEEPS 三元共混时候的DMA曲线中,发现加入20%SEEPS以后的-40℃左右的峰往左偏移了,而后我又测了一个加入30%SEEPS的曲线发现较20%往高温移动,峰位置跟15%左右的接近,求助这种现象要怎么解释。。 PP-EPR-SEBS DMA.jpg |
» 猜你喜欢
求调剂材料学硕080500,总分289分
已经有20人回复
070300化学求调剂
已经有5人回复
085600材料与化工
已经有10人回复
北科281学硕材料求调剂
已经有7人回复
276求调剂。有半年电池和半年高分子实习经历
已经有4人回复
284求调剂
已经有6人回复
306求调剂
已经有7人回复
291求调剂
已经有5人回复
070300,一志愿北航320求调剂
已经有5人回复
0703 调剂
已经有6人回复
bionics
专家顾问 (职业作家)
-

专家经验: +1523 - 应助: 1029 (博后)
- 贵宾: 0.497
- 金币: 27180.9
- 散金: 295
- 红花: 328
- 帖子: 3680
- 在线: 657.8小时
- 虫号: 531163
- 注册: 2008-03-23
- 专业: 有机高分子材料
- 管辖: 高分子
★ ★ ★
小木虫: 金币+0.5, 给个红包,谢谢回帖
无视军团: 金币+2, 鼓励新虫发帖,欢迎常来高分子版交流 2016-05-19 09:06:43
小木虫: 金币+0.5, 给个红包,谢谢回帖
无视军团: 金币+2, 鼓励新虫发帖,欢迎常来高分子版交流 2016-05-19 09:06:43
|
你采用的SEEPS可能是苯乙烯-丁二烯/异戊二烯-苯乙烯嵌段共聚物(SBIS)的选择性加氢产物吧? 如果你图中配方量的变化是指SEEPS的话,则说明SEEPS中苯乙烯链节含量对于其中的丁二烯/异戊二烯链节的低温柔顺性有抑制作用,包括EPR的低温运动性也受限。 1-建议重复测试20%SEEPS用量时样品的DMA,再做观察,感觉好像有问题; 2-若依然是这种情况,则可能的解释为该配比物料中的刚性链/柔性链节比例,有利于低温柔顺性能提高。 |

2楼2016-05-14 11:45:03
3楼2016-05-19 08:38:01













回复此楼
40