| 查看: 3691 | 回复: 8 | ||
[求助]
急求!!怎样用udf编写含有某变量的二阶导数
|
|
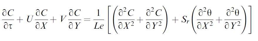
一个方程源项包含另一个变量的二阶导数,一般如果是速度的话,用C_DUDV就可以实现了,那对于普通背的变量呢?UDF源项怎表示呢? 急求! |
» 猜你喜欢
调剂推荐
已经有10人回复
0710生物学考研调剂
已经有4人回复
291求调剂
已经有17人回复
0703化学求调剂,各位老师看看我!!!
已经有6人回复
311求调剂
已经有10人回复
化学308分调剂
已经有14人回复
一志愿厦门大学化学学硕307求调剂
已经有11人回复
材料调剂
已经有4人回复
【求调剂】085601材料工程专硕 | 总分272 |
已经有9人回复
286分调剂
已经有15人回复
2楼2016-05-10 09:17:49
3楼2016-05-10 09:35:01
小蚂蚁_
实习版主
![]()
![]()
![]()
![]()
- 应助: 1 (幼儿园)
- 金币: 1450.1
- 散金: 200
- 红花: 3
- 帖子: 454
- 在线: 104.9小时
- 虫号: 2379839
- 注册: 2013-03-27
- 性别: GG
- 专业: 传递过程

4楼2017-02-19 19:22:25
5楼2018-01-02 22:24:14
6楼2018-01-25 15:28:41
wwjjsdx
兑换贵宾
![]()
![]()
![]()
![]()
- 应助: 0 (幼儿园)
- 金币: 6.2
- 散金: 30
- 红花: 2
- 帖子: 118
- 在线: 55.4小时
- 虫号: 2297594
- 注册: 2013-02-25
- 性别: GG
- 专业: 工程热物理相关交叉领域

7楼2018-03-30 10:51:36
8楼2018-11-12 11:31:27
9楼2018-11-12 15:11:24














回复此楼
