| ²é¿´: 3978 | »Ø¸´: 19 | ||
lp20091638Ìú³æ (СÓÐÃûÆø)
|
[ÇóÖú]
ÈçºÎ»æÖÆ´øÓбêÖ¾µÄ¼¸Íò¸öÊý¾Ý×é³ÉµÄÇúÏߣ¿ ÒÑÓÐ1È˲ÎÓë
|
|
¿ÆÑлæÍ¼ |
» ²ÂÄãϲ»¶
Ò»Ö¾Ô¸ÏÃÃÅ´óѧ»¯Ñ§Ñ§Ë¶307Çóµ÷¼Á
ÒѾÓÐ4È˻ظ´
²ÄÁÏѧ˶297ÒѹýËÄÁù¼¶Çóµ÷¼ÁÍÆ¼ö
ÒѾÓÐ13È˻ظ´
Ò»Ö¾Ô¸ Î÷±±´óѧ ×Ü·Ö282 Ó¢ÓïÒ»62 Çóµ÷¼Á
ÒѾÓÐ6È˻ظ´
Ò»Ö¾Ô¸ Î÷±±´óѧ £¬070300»¯Ñ§Ñ§Ë¶£¬×Ü·Ö287£¬Ë«·ÇÒ»±¾£¬Çóµ÷¼Á¡£
ÒѾÓÐ5È˻ظ´
0856Çóµ÷¼Á
ÒѾÓÐ9È˻ظ´
Ò»Ö¾Ô¸ ÄϾ©Óʵç´óѧ 288·Ö ²ÄÁÏ¿¼ÑÐ Çóµ÷¼Á
ÒѾÓÐ3È˻ظ´
²ÄÁÏÓ뻯¹¤304ÇóBÇøµ÷¼Á
ÒѾÓÐ5È˻ظ´
Ò»Ö¾Ô¸±±¾©»¯¹¤´óѧ²ÄÁÏÓ뻯¹¤£¨085600£©296Çóµ÷¼Á
ÒѾÓÐ5È˻ظ´
275Çóµ÷¼Á
ÒѾÓÐ7È˻ظ´
274Çóµ÷¼Á
ÒѾÓÐ19È˻ظ´
perfectpoint
Ìú¸Ëľ³æ (ÖøÃûдÊÖ)
- Ó¦Öú: 532 (²©Ê¿)
- ½ð±Ò: 6348.5
- É¢½ð: 557
- ºì»¨: 85
- Ìû×Ó: 1882
- ÔÚÏß: 1164.7Сʱ
- ³æºÅ: 4009201
- ×¢²á: 2015-08-06
- ÐÔ±ð: GG
- רҵ: µçÆø¿ÆÑ§Ó빤³Ì
¡¾´ð°¸¡¿Ó¦Öú»ØÌû
¡ï ¡ï ¡ï ¡ï ¡ï ¡ï ¡ï ¡ï ¡ï ¡ï ¡ï ¡ï ¡ï ¡ï ¡ï ¡ï ¡ï ¡ï ¡ï ¡ï ¡ï ¡ï ¡ï ¡ï ¡ï ¡ï ¡ï ¡ï ¡ï ¡ï
lp20091638: ½ð±Ò+30, ¡ï¡ï¡ï¡ï¡ï×î¼Ñ´ð°¸, perfect£¬·Ç³£¸Ðл¡« 2016-05-07 15:19:54
lp20091638: ½ð±Ò+30, ¡ï¡ï¡ï¡ï¡ï×î¼Ñ´ð°¸, perfect£¬·Ç³£¸Ðл¡« 2016-05-07 15:19:54
|
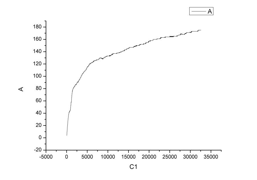
ÁíÍâÒ»ÖÖ·½·¨·Ç³£¿ìËÙ£¬Ö»ÐèÒªÉèÖÃÏÔʾ·½Ê½¼´¿É¡£µ«ÊÇÓиöȱµã¾ÍÊDZØÐë´ÓµÚÒ»¸öµã¿ªÊ¼»µã¡£ Á½ÖÖ·½·¨µÄ¾ßÌåʵÏÖ²½ÖèÎÒ´«Á˸½¼þ¡£×öµÄ²Ö´Ù£¬Ï¸½ÚÄãÐÞ¸ÄÐ޸ġ£ Á´½Ó: https://pan.baidu.com/s/1bp0V9x1 ÃÜÂë: gkjv |
» ±¾ÌûÒÑ»ñµÃµÄºì»¨£¨×îÐÂ10¶ä£©
9Â¥2016-05-06 23:55:17
weiyongscut
½ð³æ (ÕýʽдÊÖ)
ÍõÕß¹éÀ´
- Ó¦Öú: 53 (³õÖÐÉú)
- ½ð±Ò: 1542.3
- É¢½ð: 2077
- ºì»¨: 30
- Ìû×Ó: 944
- ÔÚÏß: 442Сʱ
- ³æºÅ: 2476528
- ×¢²á: 2013-05-22
- ÐÔ±ð: GG
- רҵ: ¸ß·Ö×Ó²ÄÁϽṹÓëÐÔÄÜ
|
¿ÉÒÔµ÷ÕûÊý¾ÝµãÏÔʾµÄ¼ä¸ô£¬±ÈÈçÿ¼ä¸ô20Êý¾ÝµãÏÔʾһ¸öµã£¬»òÕß¼ä¸ô100ºÍÊý¾ÝµãÏÔʾһ¸öµã ·¢×ÔСľ³æAndroid¿Í»§¶Ë |
» ±¾ÌûÒÑ»ñµÃµÄºì»¨£¨×îÐÂ10¶ä£©

10Â¥2016-05-07 09:51:31
perfectpoint
Ìú¸Ëľ³æ (ÖøÃûдÊÖ)
- Ó¦Öú: 532 (²©Ê¿)
- ½ð±Ò: 6348.5
- É¢½ð: 557
- ºì»¨: 85
- Ìû×Ó: 1882
- ÔÚÏß: 1164.7Сʱ
- ³æºÅ: 4009201
- ×¢²á: 2015-08-06
- ÐÔ±ð: GG
- רҵ: µçÆø¿ÆÑ§Ó빤³Ì
¡¾´ð°¸¡¿Ó¦Öú»ØÌû
¸Ðл²ÎÓ룬ӦÖúÖ¸Êý +1
|
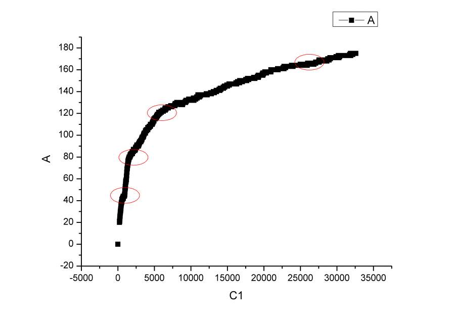
Ò»¿´¾ÍÊÇ¸ã¿ÆÑеÄÈË£¬ÐðʺÜÇå³þ¡£ ½â¾ö·½°¸ÊÇ£ºÓÃÁ½¸öͼ²ãµþ¼Ó¡£ µÚÒ»´ÎÖ±½ÓʹÓÃÔÀ´µÄÊý¾ÝÓÃline»³öÇúÏߣ» ¸´ÖÆÒ»·ÝÔʼÊý¾Ý£¬¾«¼òµ½¼¸×éÊý¾Ý£¬Èç15×飻 ÔÚÔʼͼ²ãÉÏ£¬ÓõãͼÔٻһϡ£ Íê³É¡£ ¿ÉÒÔÉÏ´«Ò»×飬ÎÒ°ïÄãʾ·¶Ò»Ï¡£ |
2Â¥2016-05-06 20:15:15
jutingxiyuan
гæ (СÓÐÃûÆø)
- Ó¦Öú: 1 (Ó×¶ùÔ°)
- ½ð±Ò: 1057.3
- ºì»¨: 1
- Ìû×Ó: 153
- ÔÚÏß: 41.9Сʱ
- ³æºÅ: 3270744
- ×¢²á: 2014-06-12
- רҵ: ÄÔѪ¹Ü½á¹¹¡¢¹¦ÄÜÒì³£¼°Ïà
|
originÓÐÖ±½ÓÌáÈ¡Êý¾ÝµÄ¹¦ÄÜ£¬»µÄͼÓëÔÀ´Ïàͬ£¬µ«ÊǵãÉÙÁ˺ܶ࣬Á½²½µÄÊÂÇ飬ºÜ¼òµ¥£¬¾Í²»»á³öÏÖÂ¥Ö÷µÄÇé¿ö£¬Â¥ÉϵĻشðºÜºÃ£¬µ«ÊÇÂÔ·±Ëö¡£ ·¢×ÔСľ³æAndroid¿Í»§¶Ë |
» ±¾ÌûÒÑ»ñµÃµÄºì»¨£¨×îÐÂ10¶ä£©
6Â¥2016-05-06 23:16:59
perfectpoint
Ìú¸Ëľ³æ (ÖøÃûдÊÖ)
- Ó¦Öú: 532 (²©Ê¿)
- ½ð±Ò: 6348.5
- É¢½ð: 557
- ºì»¨: 85
- Ìû×Ó: 1882
- ÔÚÏß: 1164.7Сʱ
- ³æºÅ: 4009201
- ×¢²á: 2015-08-06
- ÐÔ±ð: GG
- רҵ: µçÆø¿ÆÑ§Ó빤³Ì
¡¾´ð°¸¡¿Ó¦Öú»ØÌû
|
ÎÒÓõľÍÊÇÌáÈ¡Êý¾ÝµÄ¹¦ÄÜ¡£µ«ÊÇÈç¹ûÖ±½ÓÓÃÌáÈ¡ºóµÄÊý¾Ý»Í¼£¬ÓÉÓÚµãÉÙÁË£¬ÇúÏ߻᲻һÑù¡£ËùÒÔÒªÓÃÔ´Êý¾Ý»Í¼£¬ÌáÈ¡ºóµÄÊý¾ÝÖ»ÄÜÓÃÀ´»µã¡£ |
8Â¥2016-05-06 23:37:23
lp20091638
Ìú³æ (СÓÐÃûÆø)
- Ó¦Öú: 0 (Ó×¶ùÔ°)
- ½ð±Ò: 428.5
- É¢½ð: 12
- Ìû×Ó: 142
- ÔÚÏß: 135.8Сʱ
- ³æºÅ: 2020183
- ×¢²á: 2012-09-21
- ÐÔ±ð: GG
- רҵ: ½»Í¨¹¤³Ì
13Â¥2016-05-07 15:20:45
acmliang8
ľ³æ (ÕýʽдÊÖ)
- Ó¦Öú: 14 (СѧÉú)
- ½ð±Ò: 4513.5
- É¢½ð: 107
- ºì»¨: 4
- Ìû×Ó: 345
- ÔÚÏß: 152.9Сʱ
- ³æºÅ: 1222366
- ×¢²á: 2011-03-05
- ÐÔ±ð: GG
- רҵ: µç´Å³¡Ó벨

16Â¥2016-05-08 10:33:16
lp20091638
Ìú³æ (СÓÐÃûÆø)
- Ó¦Öú: 0 (Ó×¶ùÔ°)
- ½ð±Ò: 428.5
- É¢½ð: 12
- Ìû×Ó: 142
- ÔÚÏß: 135.8Сʱ
- ³æºÅ: 2020183
- ×¢²á: 2012-09-21
- ÐÔ±ð: GG
- רҵ: ½»Í¨¹¤³Ì
3Â¥2016-05-06 20:31:12
lp20091638
Ìú³æ (СÓÐÃûÆø)
- Ó¦Öú: 0 (Ó×¶ùÔ°)
- ½ð±Ò: 428.5
- É¢½ð: 12
- Ìû×Ó: 142
- ÔÚÏß: 135.8Сʱ
- ³æºÅ: 2020183
- ×¢²á: 2012-09-21
- ÐÔ±ð: GG
- רҵ: ½»Í¨¹¤³Ì
|
ÄúµÄÒâ˼ÊÇ·ñÊÇ£¬copyн¨Ò»¸öÊý¾Ý±í£¬È»ºó°ÑÀïÃæµÄÊý¾Ý·Ö³É15µÈ·Ö£¬È»ºóɾ³ýÕâ15·ÝÄÚ²¿Êý¾Ý£¬Ö»ÁôÕâ15¸öÊý×Ö£¬È»ºóÔÚͼÖÐн¨Ò»¸öͼ²ãµ«Ö»»µãͼ£¬ÕâÑùÁ½¸öµÄµþ¼Ó¾ÍÊÇÂú×ãÎÒµÄÒªÇóÁ˰¡£¿Âé·³Äú°ïÎÒÕûÏ£¬£¬ÁíÍ⣬ÎÒ»¹ÓÐÒ»²¿·ÖÕâÑùµÄÊý¾Ý£¬Èç¹û°´ÎÒ˵µÄÄǸöÒâ˼»á²»»á¹¤×÷Á¿»¹ÊÇÓеã´ó°¡£¿ |
» ±¾Ìû¸½¼þ×ÊÔ´Áбí
-
»¶Ó¼à¶½ºÍ·´À¡£ºÐ¡Ä¾³æ½öÌṩ½»Á÷ƽ̨£¬²»¶Ô¸ÃÄÚÈݸºÔð¡£
±¾ÄÚÈÝÓÉÓû§×ÔÖ÷·¢²¼£¬Èç¹ûÆäÄÚÈÝÉæ¼°µ½ÖªÊ¶²úȨÎÊÌ⣬ÆäÔðÈÎÔÚÓÚÓû§±¾ÈË£¬Èç¶Ô°æÈ¨ÓÐÒìÒ飬ÇëÁªÏµÓÊÏ䣺xiaomuchong@tal.com - ¸½¼þ 1 : 1111.xlsx
2016-05-06 20:32:03, 521.66 K
4Â¥2016-05-06 20:36:00
lp20091638
Ìú³æ (СÓÐÃûÆø)
- Ó¦Öú: 0 (Ó×¶ùÔ°)
- ½ð±Ò: 428.5
- É¢½ð: 12
- Ìû×Ó: 142
- ÔÚÏß: 135.8Сʱ
- ³æºÅ: 2020183
- ×¢²á: 2012-09-21
- ÐÔ±ð: GG
- רҵ: ½»Í¨¹¤³Ì
5Â¥2016-05-06 22:19:51
perfectpoint
Ìú¸Ëľ³æ (ÖøÃûдÊÖ)
- Ó¦Öú: 532 (²©Ê¿)
- ½ð±Ò: 6348.5
- É¢½ð: 557
- ºì»¨: 85
- Ìû×Ó: 1882
- ÔÚÏß: 1164.7Сʱ
- ³æºÅ: 4009201
- ×¢²á: 2015-08-06
- ÐÔ±ð: GG
- רҵ: µçÆø¿ÆÑ§Ó빤³Ì
¡¾´ð°¸¡¿Ó¦Öú»ØÌû
|
²»ºÃÒâ˼£¬¸Õ¸Õ¿´µ½¡£ÄãÒѾʵÏÖÁË£¬ÎҾͲ»ÐèÒª°ïÄã²âÊÔÁË¡£ Äã¾õµÃÂé·³µÄÖ÷ÒªÔÒòÔÚÓÚ£¬ÄãÌÞ³ýÊý¾ÝµÄ·½·¨²»¶Ô£¬²»ÊÇÊÖ¶¯·Ö³É15µÈ·Ý£¬È»ºóȥɾ³ý¡£¸÷¸ö°æ±¾²»Ò»Ñù¡£origin9ÒÔºóµÄ°æ±¾£¬Óиö¼õÉÙÐеŦÄÜ¡£¿ÉÒÔ°Ñ1ÍòÐÐÊý¾ÝÖ±½Ó¼õÉÙµ½15ÐС£±ðµÄ°æ±¾Ò²Óд˹¦ÄÜ£¬µ«ÊǾÝ˵Ãû×Ö²»Ò»Ñù¡£ÎÒûÓùý¾É°æ±¾¡£ |
7Â¥2016-05-06 23:22:29













»Ø¸´´ËÂ¥
lp20091638
£¬ÄúµÄ´ð°¸¶ÔÎÒÒ²ÊǺÜÓаïÖú¡£¡£