24小时热门版块排行榜    

查看: 261  |  回复: 0

colored

铜虫 (初入文坛)

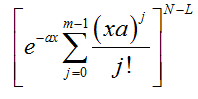
[求助] 求助攻算多项式展开

本人数学菜鸟一枚,遇到多项式展开卡带了,求助攻!
用第二个图的方法展开第一个图中的公式,谢谢。

求助攻算多项式展开
11.png


求助攻算多项式展开-1
22.png
回复此楼

» 猜你喜欢

已阅   回复此楼   关注TA 给TA发消息 送TA红花 TA的回帖
相关版块跳转 我要订阅楼主 colored 的主题更新
最具人气热帖推荐 [查看全部] 作者 回/看 最后发表
[考研] 材料学硕301分求调剂 +7 Liyouyumairs 2026-03-21 7/350 2026-03-21 22:31 by peike
[考研] 初试 317 +7 半拉月丙 2026-03-20 7/350 2026-03-21 22:26 by peike
[考研] 考研调剂 +3 呼呼?~+123456 2026-03-21 3/150 2026-03-21 20:04 by 无际的草原
[考研] 346求调剂[0856] +4 WayneLim327 2026-03-16 7/350 2026-03-21 04:02 by JourneyLucky
[考研] 299求调剂 +6 △小透明* 2026-03-17 6/300 2026-03-21 02:42 by JourneyLucky
[考研] 287求调剂 +7 晨昏线与星海 2026-03-19 8/400 2026-03-20 22:19 by JourneyLucky
[考研] 329求调剂 +9 想上学吖吖 2026-03-19 9/450 2026-03-20 22:01 by luoyongfeng
[考研] 一志愿华中农业071010,总分320求调剂 +3 困困困困坤坤 2026-03-20 3/150 2026-03-20 20:38 by 学员8dgXkO
[考研] 求调剂 +3 @taotao 2026-03-20 3/150 2026-03-20 19:35 by JourneyLucky
[考研] 广西大学家禽遗传育种课题组2026年硕士招生(接收计算机专业调剂) +3 123阿标 2026-03-17 3/150 2026-03-20 15:58 by 飞行琦
[论文投稿] 申请回稿延期一个月,编辑同意了。但系统上的时间没变,给编辑又写邮件了,没回复 10+3 wangf9518 2026-03-17 4/200 2026-03-19 23:55 by babero
[考研] 081700化工学硕调剂 +3 【1】 2026-03-16 3/150 2026-03-19 23:40 by edmund7
[考研] 0854可跨调剂,一作一项核心论文五项专利,省、国级证书40+数一英一287 +8 小李0854 2026-03-16 8/400 2026-03-18 14:35 by 搏击518
[考研] 材料,纺织,生物(0856、0710),化学招生啦 +3 Eember. 2026-03-17 9/450 2026-03-18 10:28 by Eember.
[考研] 0703化学336分求调剂 +6 zbzihdhd 2026-03-15 7/350 2026-03-18 09:53 by zhukairuo
[考研] 考研求调剂 +3 橘颂. 2026-03-17 4/200 2026-03-17 21:43 by 有只狸奴
[考研] 290求调剂 +3 p asserby. 2026-03-15 4/200 2026-03-17 16:35 by wangkm
[考博] 26申博 +4 八6八68 2026-03-16 4/200 2026-03-17 13:00 by 轻松不少随
[考研] 302求调剂 +4 小贾同学123 2026-03-15 8/400 2026-03-17 10:33 by 小贾同学123
[考研] 283求调剂 +3 听风就是雨; 2026-03-16 3/150 2026-03-17 07:41 by 热情沙漠
信息提示
请填处理意见