| 查看: 1267 | 回复: 10 | |||
sophia9yang新虫 (初入文坛)
|
[求助]
求助:如何使用matlab求解同时含有分布函数和自变量的表达式已有1人参与
|
||
|
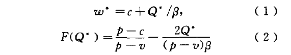
各位大神,小女子最近在赶毕业论文,看到文献中有如附件中图1的式(1)和(2),已知条件如附件中图2所示,求问如何求出附件中图3所示的最优w和Q呢?此题最大的问题在于如何使用matlab求解图1中同时含有Q和F(Q)的(2)式,其中F(x)中的变量x服从正态分布,即图2条件所示。各位如果有任何思路,就指点我一下吧。 图片1 表达式 图片2 已知条件 图片3 求得结果 |
» 猜你喜欢
到新单位后,换了新的研究方向,没有团队,持续积累2区以上论文,能申请到面上吗
已经有7人回复
申请2026年博士
已经有5人回复
天津工业大学郑柳春团队欢迎化学化工、高分子化学或有机合成方向的博士生和硕士生加入
已经有5人回复
寻求一种能扛住强氧化性腐蚀性的容器密封件
已经有6人回复
2025冷门绝学什么时候出结果
已经有7人回复
请问有评职称,把科研教学业绩算分排序的高校吗
已经有6人回复
Bioresource Technology期刊,第一次返修的时候被退回好几次了
已经有7人回复
请问哪里可以有青B申请的本子可以借鉴一下。
已经有4人回复
请问下大家为什么这个铃木偶联几乎不反应呢
已经有5人回复
康复大学泰山学者周祺惠团队招收博士研究生
已经有6人回复
遥控小丑
金虫 (正式写手)
- 应助: 30 (小学生)
- 金币: 1688.9
- 红花: 12
- 帖子: 828
- 在线: 113.3小时
- 虫号: 4013449
- 注册: 2015-08-09
- 性别: GG
- 专业: 计算机科学

3楼2016-05-05 02:38:08
sophia9yang
新虫 (初入文坛)
- 应助: 0 (幼儿园)
- 金币: 184.2
- 红花: 1
- 帖子: 17
- 在线: 4.6小时
- 虫号: 3651472
- 注册: 2015-01-18
- 专业: 管理科学与工程
5楼2016-05-05 16:29:27
遥控小丑
金虫 (正式写手)
- 应助: 30 (小学生)
- 金币: 1688.9
- 红花: 12
- 帖子: 828
- 在线: 113.3小时
- 虫号: 4013449
- 注册: 2015-08-09
- 性别: GG
- 专业: 计算机科学

2楼2016-05-05 02:36:29
Mr__Right
专家顾问 (著名写手)
-

专家经验: +31 - 数学EPI: 1
- 应助: 317 (大学生)
- 金币: 14456.3
- 散金: 500
- 红花: 54
- 帖子: 2716
- 在线: 950.6小时
- 虫号: 1972612
- 注册: 2012-09-04
- 性别: GG
- 专业: 应用数学方法
- 管辖: 程序语言

4楼2016-05-05 09:34:31
Mr__Right
专家顾问 (著名写手)
-

专家经验: +31 - 数学EPI: 1
- 应助: 317 (大学生)
- 金币: 14456.3
- 散金: 500
- 红花: 54
- 帖子: 2716
- 在线: 950.6小时
- 虫号: 1972612
- 注册: 2012-09-04
- 性别: GG
- 专业: 应用数学方法
- 管辖: 程序语言

6楼2016-05-05 19:06:15
sophia9yang
新虫 (初入文坛)
- 应助: 0 (幼儿园)
- 金币: 184.2
- 红花: 1
- 帖子: 17
- 在线: 4.6小时
- 虫号: 3651472
- 注册: 2015-01-18
- 专业: 管理科学与工程
7楼2016-05-05 22:51:18
Mr__Right
专家顾问 (著名写手)
-

专家经验: +31 - 数学EPI: 1
- 应助: 317 (大学生)
- 金币: 14456.3
- 散金: 500
- 红花: 54
- 帖子: 2716
- 在线: 950.6小时
- 虫号: 1972612
- 注册: 2012-09-04
- 性别: GG
- 专业: 应用数学方法
- 管辖: 程序语言

8楼2016-05-06 07:44:16
sophia9yang
新虫 (初入文坛)
- 应助: 0 (幼儿园)
- 金币: 184.2
- 红花: 1
- 帖子: 17
- 在线: 4.6小时
- 虫号: 3651472
- 注册: 2015-01-18
- 专业: 管理科学与工程
9楼2016-05-06 07:49:23
Mr__Right
专家顾问 (著名写手)
-

专家经验: +31 - 数学EPI: 1
- 应助: 317 (大学生)
- 金币: 14456.3
- 散金: 500
- 红花: 54
- 帖子: 2716
- 在线: 950.6小时
- 虫号: 1972612
- 注册: 2012-09-04
- 性别: GG
- 专业: 应用数学方法
- 管辖: 程序语言

10楼2016-05-06 08:01:11













回复此楼



