| 查看: 422 | 回复: 2 | ||
| 本帖产生 1 个 翻译EPI ,点击这里进行查看 | ||
[求助]
求翻译几个化合物名称
|
||
|
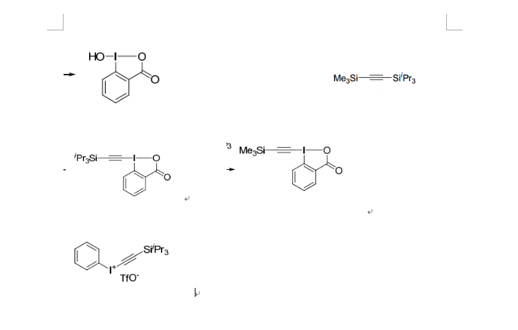
1-Hydroxy-1,2-benziodoxol-3(1H)-one Triisopropylsilyl trimethylsilylacetylene 1-[(Triisopropyllsilyl)ethynyl]-1,2-benziodoxol-3(1H)-one 1-[(Trimethylsilyl)ethynyl]-1,2-benziodoxol-3(1H)-one Phenyl(triisopropylsilyl)iodonium triflate 如果看不清,这也有图片在这 https://pan.baidu.com/s/1dFG0h9n 多谢大家。 dd.png |
» 猜你喜欢
285求调剂
已经有5人回复
生物学求调剂
已经有4人回复
0854求调剂
已经有3人回复
319分085702安全工程求调剂
已经有4人回复
生物学308分求调剂(一志愿华东师大)
已经有6人回复
085600材料与化工301分求调剂院校
已经有14人回复
0703化学调剂325分
已经有12人回复
求助071001调剂!!!
已经有5人回复
工科370求调剂
已经有3人回复
材料专硕322
已经有10人回复
jiangguofeng
金虫 (著名写手)
- 翻译EPI: 248
- 应助: 41 (小学生)
- 金币: 25963.4
- 红花: 25
- 帖子: 2115
- 在线: 567.1小时
- 虫号: 72410
- 注册: 2005-06-04
- 专业: 合成药物化学
【答案】应助回帖
★ ★ ★ ★ ★ ★ ★ ★ ★ ★ ★ ★ ★ ★ ★ ★ ★ ★ ★ ★ ★ ★ ★ ★ ★ ★ ★ ★ ★ ★ ★ ★ ★ ★ ★ ★ ★ ★ ★ ★ ★ ★ ★ ★ ★ ★ ★ ★ ★ ★
小小很低调(fjtony163代发): 金币+50, 代发 2016-05-31 02:55:07
fjtony163: 翻译EPI+1, 代发 2016-05-31 02:55:22
小小很低调(fjtony163代发): 金币+50, 代发 2016-05-31 02:55:07
fjtony163: 翻译EPI+1, 代发 2016-05-31 02:55:22
|
1-羟基-1,2-苯碘酰-3(1H)-酮 三异丙基甲硅烷基三甲基硅烷基乙炔 1-[(三异丙甲硅烷基)乙炔基]-1,2 -苯碘酰-3(1H)-酮 1-[(三甲基甲硅烷基)乙炔基]-1,2 -苯碘酰-3(1H)-酮 苯基(三异丙基甲硅烷基)三氟甲烷磺酸碘 |
2楼2016-05-28 20:08:41
3楼2016-05-29 09:15:30














回复此楼