| ²é¿´: 511 | »Ø¸´: 2 | |||
pinkcheÒø³æ (СÓÐÃûÆø)
|
[ÇóÖú]
¸´ºÏº¯ÊýÇóµ¼
|
|
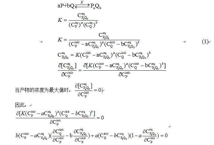
±È½Ï¼òµ¥µÄ¸´ºÏº¯ÊýÇóµ¼£¬µ«½á¹ûºÍÄ£ÄâʵÑé½á¹û²»Í¬£¬²»ÖªµÀ´íÔÚÄÄÀÇë¸÷λ´óÏÀ°ïæ¿´¿´£¬²»Ê¤¸Ð¼¤£¡ emuch1.jpg emuch2.jpg |
» ±¾Ìû¸½¼þ×ÊÔ´Áбí
-
»¶Ó¼à¶½ºÍ·´À¡£ºÐ¡Ä¾³æ½öÌṩ½»Á÷ƽ̨£¬²»¶Ô¸ÃÄÚÈݸºÔð¡£
±¾ÄÚÈÝÓÉÓû§×ÔÖ÷·¢²¼£¬Èç¹ûÆäÄÚÈÝÉæ¼°µ½ÖªÊ¶²úȨÎÊÌ⣬ÆäÔðÈÎÔÚÓÚÓû§±¾ÈË£¬Èç¶Ô°æÈ¨ÓÐÒìÒ飬ÇëÁªÏµÓÊÏ䣺xiaomuchong@tal.com - ¸½¼þ 1 : emuch.docx
2016-04-25 12:39:54, 26.21 K
» ²ÂÄãϲ»¶
270Çóµ÷¼Á
ÒѾÓÐ8È˻ظ´
211±¾¿Æ²ÄÁÏ»¯¹¤Çóµ÷¼Á
ÒѾÓÐ6È˻ظ´
Çóµ÷¼Á
ÒѾÓÐ10È˻ظ´
Çóµ÷¼Á
ÒѾÓÐ11È˻ظ´
272·Ö²ÄÁÏ×ÓÇóµ÷¼Á
ÒѾÓÐ43È˻ظ´
271Çóµ÷¼Á
ÒѾÓÐ13È˻ظ´
283Çóµ÷¼Á 086004¿¼Ó¢¶þÊý¶þ
ÒѾÓÐ16È˻ظ´
085410 273·Öµ÷¼Á
ÒѾÓÐ4È˻ظ´
Ò»Ö¾Ô¸Ïôó0856£¬306Çóµ÷¼Á
ÒѾÓÐ3È˻ظ´
304Çóµ÷¼Á£¨085602£¬¹ýËļ¶£¬Ò»Ö¾Ô¸985£©
ÒѾÓÐ28È˻ظ´
Mr__Right
ר¼Ò¹ËÎÊ (ÖøÃûдÊÖ)
-

ר¼Ò¾Ñé: +31 - ÊýѧEPI: 1
- Ó¦Öú: 317 (´óѧÉú)
- ½ð±Ò: 14456.3
- É¢½ð: 500
- ºì»¨: 54
- Ìû×Ó: 2716
- ÔÚÏß: 950.6Сʱ
- ³æºÅ: 1972612
- ×¢²á: 2012-09-04
- ÐÔ±ð: GG
- רҵ: Ó¦ÓÃÊýѧ·½·¨
- ¹ÜϽ: ³ÌÐòÓïÑÔ

2Â¥2016-04-25 21:11:05
pinkche
Òø³æ (СÓÐÃûÆø)
- Ó¦Öú: 0 (Ó×¶ùÔ°)
- ½ð±Ò: 745.2
- É¢½ð: 11
- ºì»¨: 4
- Ìû×Ó: 164
- ÔÚÏß: 167.8Сʱ
- ³æºÅ: 3714315
- ×¢²á: 2015-03-06
- ÐÔ±ð: MM
- רҵ: ºôÎüϵͳÒÅ´«ÐÔ¼²²¡
3Â¥2016-04-26 16:13:58













»Ø¸´´ËÂ¥