| 查看: 352 | 回复: 1 | |||
goodstirling铁杆木虫 (正式写手)
|
[求助]
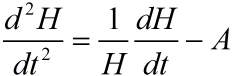
怎么用Matlab解如下非线性常微分方程 已有1人参与
|
||
|
|
|||
月只蓝主管区长 (职业作家)
|
|||
![]() |
|||
|
2楼2016-04-25 13:34:10
|
|













回复此楼
