| 查看: 445 | 回复: 4 | ||
蝶舞天涯ljw捐助贵宾 (小有名气)
|
[求助]
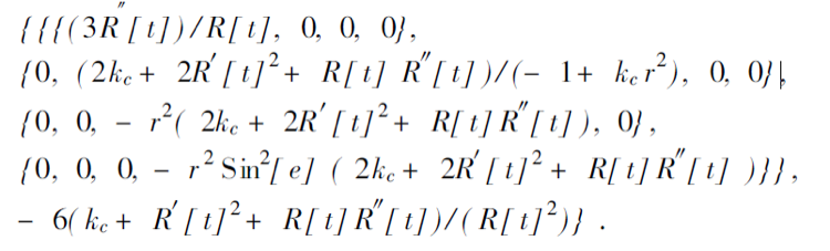
求助大神,下面定义的函数已经执行通过了,但是调用的时候,有一个错误信息 已有1人参与
|
|
|
|
||
蝶舞天涯ljw捐助贵宾 (小有名气)
|
||
|
2楼2016-04-22 08:47:28
|
|
|
蝶舞天涯ljw捐助贵宾 (小有名气)
|
||
|
3楼2016-04-22 08:47:43
|
|
|
蝶舞天涯ljw捐助贵宾 (小有名气)
|
||
|
4楼2016-04-22 08:47:54
|
|
|
virtualzx木虫 (著名写手)
|
【答案】应助回帖
★ ★ ★ ★ ★ ★ ★ ★ ★ ★
感谢参与,应助指数 +1 蝶舞天涯ljw: 金币+10, ★★★很有帮助 2016-04-22 12:14:08
|
|
|
5楼2016-04-22 09:04:19
|
|














回复此楼