| 查看: 656 | 回复: 3 | |
唐明宇面包
|
[求助]
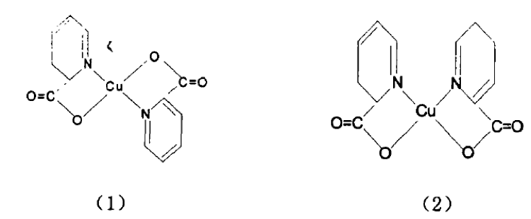
这是红外的谱图求助各个位置的官能团,非常感谢
|
|
|
|
|
2楼2016-04-20 17:02:11
|
|
唐明宇面包
|
|
|
3楼2016-04-20 17:35:48
|
|
唐明宇面包
|
|
|
4楼2016-04-21 08:18:22
|
|














回复此楼
唐明宇面包