| 查看: 825 | 回复: 5 | ||||
603942846木虫 (正式写手)
|
[求助]
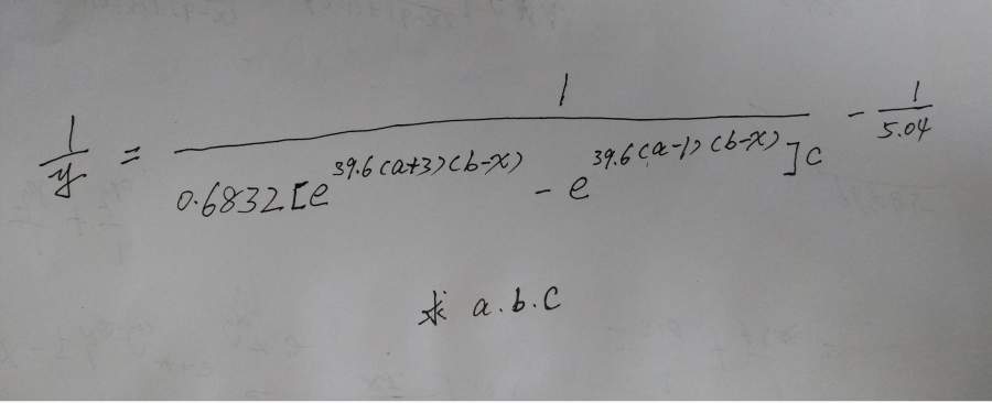
matlab编程 已有1人参与
|
|||
![]() |
||||
|
|
||||
| 回帖置顶 ( 共有1个 ) | ||||
月只蓝主管区长 (职业作家)
|
【答案】应助回帖
★ ★ ★ ★ ★ ★ ★ ★ ★ ★ ★ ★ ★ ★ ★ ★ ★ ★ ★ ★ ★ ★ ★ ★ ★
603942846: 金币+25, ★★★★★最佳答案 2016-04-20 17:04:46 |
|||
![]() |
||||
|
3楼2016-04-20 15:31:11
|
|
|||
| 普通回帖 | ||||
月只蓝主管区长 (职业作家)
|
【答案】应助回帖
★ ★ ★ ★ ★ ★ ★ ★ ★ ★ ★ ★ ★ ★ ★ ★ ★ ★ ★ ★ ★ ★ ★ ★ ★
感谢参与,应助指数 +1 603942846: 金币+25, ★★★★★最佳答案 2016-04-20 17:05:13
|
|||
![]() |
||||
|
2楼2016-04-20 15:29:08
|
|
|||
|
4楼2016-04-20 15:31:57
|
|
|||
|
5楼2016-04-20 15:32:32
|
|
|||
603942846木虫 (正式写手)
|
||||
![]() |
||||
|
6楼2016-04-20 17:06:04
|
|
|||













回复此楼

