| 查看: 592 | 回复: 4 | |||
[求助]
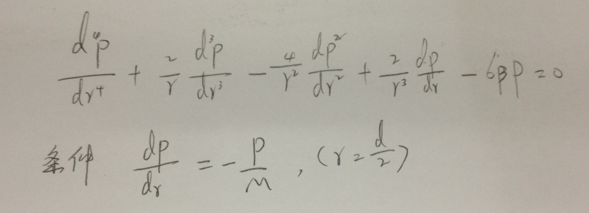
求大神们帮忙看一下,这个微分方程如何求解?如何利用matlab求解?已有1人参与
|
|||
|
|
|||
Mr__Right专家顾问 (著名写手)
|
|||
![]() |
|||
|
2楼2016-04-18 18:51:00
|
|
||
|
3楼2016-04-26 10:18:50
|
|
||
Mr__Right专家顾问 (著名写手)
|
|||
![]() |
|||
|
4楼2016-04-26 18:30:48
|
|
||
dingd铁杆木虫 (职业作家)
|
|||
|
5楼2016-04-27 09:21:59
|
|













回复此楼

