| 查看: 826 | 回复: 4 | |||
czj10cailiao金虫 (著名写手)
|
[求助]
帮我看一下这几个tafel图,缓蚀剂到底有没有作用啊 ? 已有1人参与
|
|
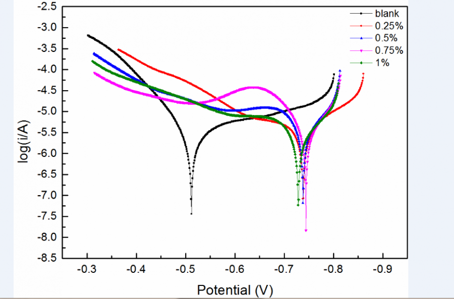
电化学不怎么了解,做的图不会分析,为什么有的图腐蚀电流下降了,腐蚀电位却负移了好多,还有的却负移不明显,,,怎么解释?是阴极型和混合型的区别么? 捕获.PNG 捕获1.PNG 捕获2.PNG@louderbe@langzhizhou |
» 收录本帖的淘帖专辑推荐
电化学 |
» 猜你喜欢
CSC & MSCA 博洛尼亚大学能源材料课题组博士/博士后招生|MSCA经费充足、排名优
已经有6人回复
德国Karlsruhe Institute of Technology招收电化学储能及联合培养CSC博士等
已经有20人回复
分析化学论文润色/翻译怎么收费?
已经有299人回复
德国Karlsruhe Institute of Technology招收电化学储能及联合培养CSC博士
已经有24人回复
德国Karlsruhe Institute of Technology招收电化学储能及联合培养CSC博士
已经有1人回复
固态锂金属电池迁移数计算求助
已经有1人回复
荷兰奈梅亨大学赵文博与Galimberti课题组招收理论计算CSC博士 2000 欧元/月+房补
已经有0人回复
26储能博士申请自荐
已经有22人回复
上海交通大学--宁波东方理工大学电池方向博士招生
已经有10人回复
海南大学全国重点实验室杨金霖老师招收储能电池方向博士生(2026年3月报名,9月入学)
已经有0人回复
海南师范大学2026年博士研究生招收 (在职想提升学历人员可报考) 申请考核制+普通招考
已经有0人回复
czj10cailiao
金虫 (著名写手)
|
顶一下啊 发自小木虫Android客户端 |
2楼2016-04-17 17:08:21
dong-long
铁杆木虫 (职业作家)
- 应助: 308 (大学生)
- 金币: 10300.8
- 散金: 2740
- 红花: 45
- 沙发: 1
- 帖子: 3725
- 在线: 3115.7小时
- 虫号: 1883380
- 注册: 2012-07-08
- 性别: GG
- 专业: 化石能源储存与输送

3楼2016-04-17 17:20:34

4楼2016-04-17 20:27:33
|
腐蚀电位可能不太准确,有时候偏差会有些大,建议拟合出腐蚀电流密度,就用仪器自带软件,点abalysis中的special abalysis,确定电势范围,直接calculate就好,那里有corrosion current 发自小木虫Android客户端 |
5楼2016-04-19 20:35:58













回复此楼