| ²é¿´: 979 | »Ø¸´: 5 | ||
zyren123ľ³æ (ÎÄ̳¾«Ó¢)
|
[ÇóÖú]
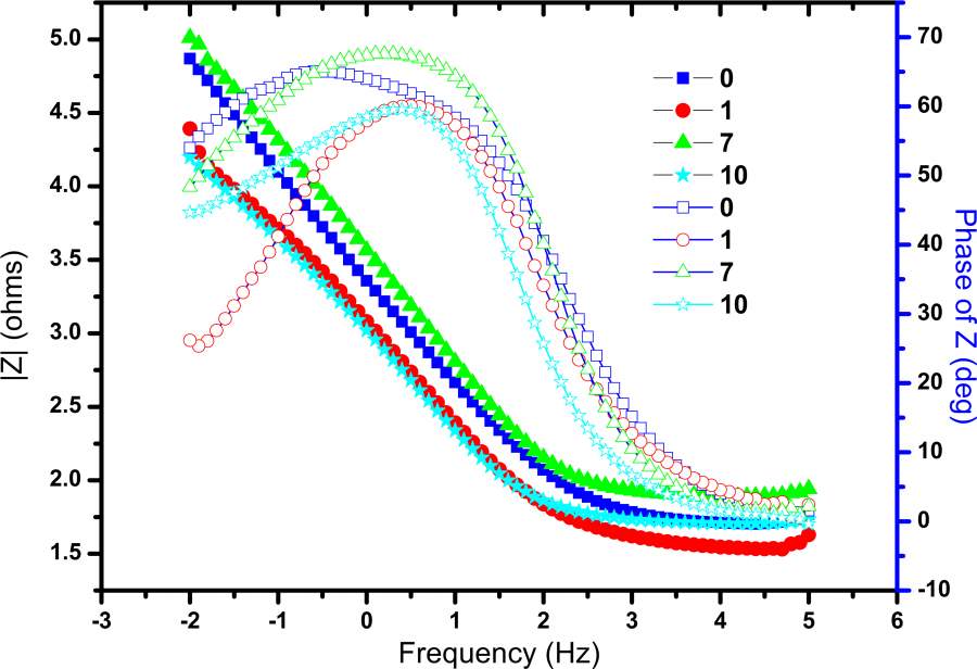
ÖØ½ðÇó´óÉñ°ïæ·ÖÎöÏÂBodeͼºÍnyquistͼ ÒÑÓÐ2È˲ÎÓë
|
|
Óм¸¸öÑùÆ·×öÁËÏÂ×迹Æ×²âÊÔ£¬µÃµ½ÁËbodeͼºÍnyquistͼ£¬²»Êǿưà³öÉí£¬ÏÖÔÚдÎÄÕ²»Ì«»á·ÖÎö£¬ÖؽðÇó´óÉñ°ïæ·ÖÎö£¡·ÖÎöµÄºÃµÄ×·¼Ó300½ð±ÒÖØÉÍ£¡Èç¹ûÎÄÕ½ÓÊÜÁËÖØÉÍ1000½ð±Ò£¡Á¢ÌûΪ֤£¡ bode1.jpg nyquist1.jpg |
» ²ÂÄãϲ»¶
Çൺ´óѧ»¯Ñ§»¯¹¤Ñ§Ôº2026ÄêÕÐÊÕµ÷¼Á˶ʿÑо¿Éú
ÒѾÓÐ0È˻ظ´
ÐÂÄÜÔ´²ÄÁÏ·½Ïò¿¼Ñе÷¼ÁÕÐÉú£¨³¤½Ê¦·¶Ñ§Ôº£©
ÒѾÓÐ0È˻ظ´
ÎïÀí»¯Ñ§ÂÛÎÄÈóÉ«/·ÒëÔõôÊÕ·Ñ?
ÒѾÓÐ56È˻ظ´
0854µç×ÓÐÅÏ¢272Çóµ÷¼Á£¡
ÒѾÓÐ0È˻ظ´
»¯Ñ§-»¯¹¤-²ÄÁÏ-ʳƷ-ÉúÎï-»·¾³2026ÄêÑо¿Éúµ÷¼Á£¨¿ÉÒÔ²»¿¼Êýѧ£©
ÒѾÓÐ0È˻ظ´
»¯Ñ§-»¯¹¤-²ÄÁÏ-ʳƷ-ÉúÎï-»·¾³-ũҵ 2026ÄêÑо¿Éúµ÷¼Á£¨¿ÉÒÔ²»¿¼Êýѧ£©
ÒѾÓÐ1È˻ظ´
070300Ò»Ö¾Ô¸211£¬312·ÖÇóµ÷¼ÁԺУ
ÒѾÓÐ4È˻ظ´
26Äê´¢ÄÜ¡¢µç³Ø·½Ïò²©Ê¿ÉêÇë
ÒѾÓÐ0È˻ظ´
070300»¯Ñ§Çóµ÷¼Á
ÒѾÓÐ3È˻ظ´
Çൺ´óѧ»¯Ñ§»¯¹¤Ñ§Ôº2026ÄêÕÐÊÕµ÷¼Á˶ʿÑо¿Éú
ÒѾÓÐ0È˻ظ´
±±·½¹¤Òµ´óѧ085808´¢Äܼ¼Êõ-02·½Ïò£¨µç³Ø£©½ÓÊÕµ÷¼ÁÉú
ÒѾÓÐ0È˻ظ´

¿¨Î÷Î÷123
ľ³æ (ÕýʽдÊÖ)
- Ó¦Öú: 28 (СѧÉú)
- ½ð±Ò: 1382.6
- É¢½ð: 282
- ºì»¨: 10
- Ìû×Ó: 597
- ÔÚÏß: 282.7Сʱ
- ³æºÅ: 2609275
- ×¢²á: 2013-08-21
- ÐÔ±ð: GG
- רҵ: ½ðÊô²ÄÁϵÄÄ¥ËðÓëĥʴ

2Â¥2016-04-15 12:00:54
c1990427365
Ìú¸Ëľ³æ (ÖøÃûдÊÖ)
½³Ç¿ÆÑÐС°×
- Ó¦Öú: 53 (³õÖÐÉú)
- ½ð±Ò: 6463.5
- É¢½ð: 713
- ºì»¨: 14
- Ìû×Ó: 1292
- ÔÚÏß: 514.8Сʱ
- ³æºÅ: 1460535
- ×¢²á: 2011-10-25
- ÐÔ±ð: GG
- רҵ: ½ðÊô²ÄÁϵĺϽðÏà¡¢Ïà±ä¼°
¡¾´ð°¸¡¿Ó¦Öú»ØÌû
¡ï ¡ï ¡ï ¡ï ¡ï ¡ï ¡ï ¡ï
¸Ðл²ÎÓ룬ӦÖúÖ¸Êý +1
zyren123: ½ð±Ò+8, ¡ï¡ï¡ïºÜÓаïÖú, лл»ØÌû 2016-04-18 10:25:30
¸Ðл²ÎÓ룬ӦÖúÖ¸Êý +1
zyren123: ½ð±Ò+8, ¡ï¡ï¡ïºÜÓаïÖú, лл»ØÌû 2016-04-18 10:25:30

3Â¥2016-04-15 19:43:04
zyren123
ľ³æ (ÎÄ̳¾«Ó¢)
- Ó¦Öú: 4 (Ó×¶ùÔ°)
- ½ð±Ò: 20357.8
- É¢½ð: 15972
- ºì»¨: 9
- ɳ·¢: 12
- Ìû×Ó: 26549
- ÔÚÏß: 751.2Сʱ
- ³æºÅ: 1732071
- ×¢²á: 2012-04-02
- ÐÔ±ð: GG
- רҵ: ¹ÌÌåÎÞ»ú»¯Ñ§

4Â¥2016-04-18 10:30:51
zyren123
ľ³æ (ÎÄ̳¾«Ó¢)
- Ó¦Öú: 4 (Ó×¶ùÔ°)
- ½ð±Ò: 20357.8
- É¢½ð: 15972
- ºì»¨: 9
- ɳ·¢: 12
- Ìû×Ó: 26549
- ÔÚÏß: 751.2Сʱ
- ³æºÅ: 1732071
- ×¢²á: 2012-04-02
- ÐÔ±ð: GG
- רҵ: ¹ÌÌåÎÞ»ú»¯Ñ§

5Â¥2016-04-19 08:44:29
sunfurong32
гæ (³õÈëÎÄ̳)
- Ó¦Öú: 0 (Ó×¶ùÔ°)
- ½ð±Ò: 8.5
- Ìû×Ó: 6
- ÔÚÏß: 4.4Сʱ
- ³æºÅ: 4478934
- ×¢²á: 2016-03-08
6Â¥2016-05-11 16:53:24














»Ø¸´´ËÂ¥
10