| 查看: 10259 | 回复: 247 | ||||||
| 本帖产生 1 个 PhEPI ,点击这里进行查看 | ||||||
[交流]
《读懂天然产物系列》-30 - HiFSA究竟知多少?
|
||||||
|
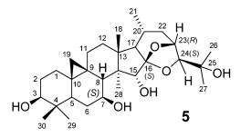
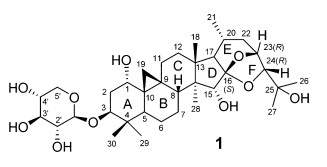
【文献】: Napolitano J.G., Lankin D.C., Graf T.N., Friesen J.B., Chen S.N., Mcalpine J.B., Oberlies N.H., Pauli G.F., HiFSA Fingerprinting Applied to Isomers with Near-Identical NMR Spectra: The Silybin/Isosilybin Case, 2013, 78, 2827-2839. Imai A., Lankin D.C., Nikolić D., Ahn S., Breemen R.B., Farnsworth N.R., Mcalpine J.B., Chen S.N., Pauli G.F., Cycloartane Triterpenes from the Aerial Parts of Actaea racemosa, 2016, 79, 541-554. 引言: 由于文献主要涉及作者Guido F. Pauli. 先简单介绍下,Pauli教授课题组在利用NMR技术对中药有效成分的定向分离、定量分析等领域具有雄厚的实力和研究基础。Guido F. Pauli美国伊利诺伊大学芝加哥分校药学院教授,药学博士,Guido F. Pauli教授主要从事天然产物化学、波谱学、分析化学和生药学等学科的研究,在定量核磁共振技术通用分析法学(qHNMR)、生物化学计量学(Biochemometrics)、核磁共振质子谱迭算全相关信息分析法(HiFSA)、新药开发及逆流色谱技术等领域均有建树,特别是作为定量核磁共振技术通用分析法学(qHNMR)之开拓者,促进了该技术在全球范围包括制药、化学产品、营养保健品及食品等领域质量控制中的应用。有兴趣的可以关注他的ResearchGate. 链接:https://www.researchgate.net/profile/Guido_Pauli 【研究内容】 从植物水飞蓟中分离得到的水飞蓟宾A(1),水飞蓟宾B(2),异水飞蓟宾A(3),异水飞蓟宾B(4)具有完全一致的分子量以及几乎完全一致的氢谱和碳谱数据,且一般的核磁(400-600MHz)所测得的质子化学位移差值(Δδ)很难超过0.01ppm,所以我们就一直认为氢谱和碳谱很难区分这四种结构。作者Pauli却用核磁共振质子谱迭算全相关信息分析法(1H iterative Full Spin Analysis, HiFSA)巧妙的将四种化合物区分开来。 【研究思路】 为了说明NMR分析(主要是氢谱,当然碳谱也可以)可以区分结构非常相近,谱图非常相似的同分异构体,作者将该研究工作分为4个步骤: 1、从自然界中分离得到高纯度的化合物1-4; 2、明确归属4个异构体的氢谱和碳谱; 3、通过HiFSA得出4个化合物的指纹识别氢谱以及相互之间的对比确定各个化合物; 4、在含有这些异构体的复杂混合物的定量核磁分析中如何应用这些指纹识别氢谱。 【结合HiFSA区分4个异构体】 1、我们需要将实验的氢谱导入到PERCH NMR 软件里来进行分析,如图所示将这个过程简单总结为4步(此处选择H-8″为例),通过这4步对NMR参数进行不断的设置和调整,最终使模仿的结果和实验数据几乎完全一致,标注差<0.1%。 按照这个步骤得到4个异构体的指纹识别氢谱,确定了氢的精确化学位移以及耦合常数,也通过DEPTQ, HSQC, HMBC确定了碳的类型以及化学位移,如图所示。 2、至此4个异构体的指纹NMR已经通过HiFSA生成,我们就可以通过相互之间的比较来确定4个异构体,如图所示,通过这些红色标记的ΔδH 以及ΔδC 就可以区分4个异构体。 是不是觉得很神奇?很小的化学位移差值就可以将具有几乎完全一致氢谱的化合物区别开来,自然界中很多这样的化合物,比如hydnocarpin 和hydnocarpin-D[2], murisolin isomers[3], amphidinol 3[4], macrocyclic dioxatetralactones[5]等都具有很相似的氢谱,你是否也有这样的情况,可以考虑下这种方法啊! 如果你认为HiFSA就这点应用,你就错了,他在区分差向异构体,确定化合物的相对构型等也有一定优势,这不最近Pauli又在J.N.P上给大家阐述了HiFSA对于Cycloartane triterpenes结构确定及相对构型的应用[6]。 【研究内容】 从植物Actaea racemosa的地上部分分到9个Cycloartane triterpenes,结合HiFSA将新化合物1的结构和相对构型确定,并且将作为差向异构体的不同糖单元区分开来。 【区分作为差向异构体的木糖和阿拉伯糖】 木糖(xylose)和阿拉伯糖(arabinose)为Cycloartane triterpene glycosides中的主要糖单元,由于C-4′的手性不同,会影响其他位置的氢化学位移,尤其对5位的氢影响最大,通过5位两个质子的位移差以及是否有3J OH-CH耦合发生可以确定糖单元。但是由于溶剂溶剂、空间屏蔽、构象改变等因素会对位移差造成影响,此时峰形及耦合常数更适合判断糖单元类型,HiFSA的优势就来了,如图所示,就可以很好区别他们。 注:红色(S)代表HiFSA模仿信号;蓝色(O)代表实验信号 【C-23, 24的相对构型确定】 作者通过HiFSA对化合物1和5进行模仿对比,对于信号H-17,Me-21, H-22α, H-22β,并未发现不一致,然而对于信号H-23, 24,发现耦合常数之间的差异,通过这些差异将化合物1与已知化合物5对比,确定了化合物1的C-23, 24的相对构型23R, 24R,并用ROESY相关进一步证明。 Comparison of the 1H NMR signals for 5 (top) and 1 (bottom) in rings E and F, respectively 注:在化合物5中,H-23,dd, J = 9.8, 2.3 Hz; H-24, s. 【总结】 在很多时候,我们解析氢谱时,由于溶剂效应,温度,构象改变,空间效应等很多因素导致氢谱峰出现很多重叠不规则现象,给我们解析结构带来很多不便。利用核磁共振质子谱迭算全相关信息分析法(HiFSA)能够精确模仿这些谱图,给我们呈现出细小的差别,正是这些微小差别使我们顺利解析出结构。 由于时间和个人水平关系,并未能将HiFSA的很多应用实例列出来,如果大家感兴趣,可以参考以下文献来读取所需信息。 上一帖链接:《读懂天然产物系列》-29- 天然产物发现之浅见 http://muchong.com/bbs/viewthread.php?tid=10095707&fpage=1 淘帖链接:http://muchong.com/bbs/taotie.php?action=view&ttid=55868 开帖篇链接:http://muchong.com/bbs/viewthread.php?tid=8620515&fpage=1[[ Last edited by 卓越_先锋 on 2016-5-20 at 15:10 ] |
» 本帖附件资源列表
-
欢迎监督和反馈:小木虫仅提供交流平台,不对该内容负责。
本内容由用户自主发布,如果其内容涉及到知识产权问题,其责任在于用户本人,如对版权有异议,请联系邮箱:xiaomuchong@tal.com - 附件 1 : 1_HiFSA_silybin_JOC_2013.pdf
- 附件 2 : 1_Supporting_information_HiFSA_silybin_JOC_2013.pdf
- 附件 3 : 2_Hydnocarpin_JNP_2000.pdf
- 附件 4 : 3_Murisolins_JACS_2006.pdf
- 附件 5 : 4_Amphidinol_OL_2008.pdf
- 附件 6 : 5_Macrocyclic_T_2008.pdf
- 附件 7 : 6_Cycloartane_HiFSA_JNP_2016.pdf
- 附件 8 : 6_Supporting_informatioin_Cycloartane_HiFSA_JNP_2016.pdf
- 附件 9 : HiFSA.rar
2016-04-14 20:43:32, 1.93 M
2016-04-14 20:43:36, 2.01 M
2016-04-14 20:43:36, 77.8 K
2016-04-14 20:43:37, 310.62 K
2016-04-14 20:43:37, 202.06 K
2016-04-14 20:43:37, 731.4 K
2016-04-14 20:43:39, 1.69 M
2016-04-14 20:43:40, 1.2 M
2016-04-14 20:43:53, 10.89 M
» 收录本帖的淘帖专辑推荐
《读懂天然产物系列》 | 药物合成化学 | 读懂天然产物系列 |
» 本帖已获得的红花(最新10朵)
» 猜你喜欢
284求调剂
已经有13人回复
材料科学与工程调剂
已经有5人回复
346求调剂 一志愿070303有机化学
已经有4人回复
329求调剂
已经有8人回复
一志愿南航 335分 | 0856材料化工 | GPA 4.07 | 有科研经历
已经有7人回复
322求调剂
已经有8人回复
考研调剂
已经有5人回复
307求调剂
已经有11人回复
292求调剂
已经有9人回复
本科211生物医学工程085409求调剂339分
已经有3人回复
» 本主题相关商家推荐: (我也要在这里推广)
» 抢金币啦!回帖就可以得到:
东北石油大学PCAFM实验室研究生调剂招生(化学化工、材料等相关专业)
+1/88
留学--博士招生
+1/50
武汉纺织大学全重实验室国家级人才团队先进纤维与功能器件课题组 接收调剂研究生
+1/49
南方油校——资源与环境专硕招生,化学环境生物类专业均可,就业好,有专业壁垒
+1/46
武汉工程大学材料学院课题组硕士调剂招生
+1/39
南京信息工程大学 化材院接受调剂研究生
+1/38
西南科技大学杨文彬教授课题组接收材料、化工、化学专业研究生调剂
+1/20
招聘︱国家纳米科学中心丁宝全杰青团队诚聘博士后(特别研究助理)
+2/16
【2026调剂】南方科技大学-深圳理工大学-中科院 联培086000免疫方向(26.9入学)
+1/11
食品学硕考研调剂
+1/10
三峡大学材化学院能源环保晶态材料课题组接收调剂,招收化学类硕士
+1/8
08工学英一数二290 三个奖学金两个省三 一个省创优秀结项 B区求调剂
+1/8
三峡大学材料与化工学院调剂
+1/7
2026年中国科学院城市环境所与福建农林大学联合培养硕士研究生项目介绍
+1/6
北京理工大学王佳楠研究员团队招聘博士后(无人飞行器控制、机器人操作感知等方向)
+1/6
大连工业杰青、长江团队-生物质材料方向招收2026级博士生
+1/5
广东江门 五邑大学柔性传感材料与器件研究开发中心 招收0805、0856调剂硕士
+1/4
三峡大学材化学院磷硅精细化工课题组招收化学类、材料类、材料与化工类硕士
+1/2
调剂来这边
+1/2
南开大学环境科学与工程学院王鑫教授课题组招收申请考核制博士生
+1/1
★
6902765(金币+1): 谢谢参与
6902765(金币+1): 谢谢参与
| 天然产物的结构解析对于很多人说是一个大难题,尤其是结构相似或者结构复杂的化合物,一般化合物结构的正确推导取决于碳氢周围环境,运用整体分子与类似物的进行比较,然后在结合NMR和MS进行归属,然而由于天然产物结构复杂,且富含手性中心,即便是做了大量的NMR谱之后,也未必能够对其一些结构中的细微差别进行准确解析,于是很多人都将这些细小的差别忽略了,Guido F. Pauli.教授将计算机技术及量子化学理论结合,创造出了核磁共振质子谱迭算全相关信息分析法(HiFSA),可以对NMR谱更加细致分辨和归属,这对于异构体或者化学环境不同但位移相似的的结构解析有很大的帮助。 |
142楼2016-04-16 09:43:22
★
6902765(金币+1): 谢谢参与
6902765(金币+1): 谢谢参与
|
在系统的看了这六篇文章,感觉Guido F. Pauli使用核磁共振质子谱迭算全相关信息分析法(HiFSA)证明一下立体异构体的时候确实得到了很好的效果,对于从事相关论证立体异构体的工作者来说,它可能带来一下简单可行的证明,但是读者认为这个理论及软件还在论证阶段,就如 Pauli所做的那样,但是它的运用的局限还有待发现,加之用该方法出现错误率还带讨论,以及该方法的认可度还待发展、、、 但是从另外一个角度看,我们在做基础研究的能不能在实验之中向作者这样去思考去开发一些对该领域可能有一些革新的概念、方法,而不仅仅只为了发文章,使用已有的方法(如确定立体异构体的构形的方法)、、、 一小硕模糊看完后的一些想法,勿喷、、、、 ![]() ![]() |
234楼2016-05-10 20:25:30
9楼2016-04-14 23:24:38
10楼2016-04-14 23:26:20
50楼2016-04-15 09:49:20
简单回复
卓越_先锋2楼
2016-04-14 22:18
回复
6902765(金币+1): 谢谢参与
感谢分享
lx119393楼
2016-04-14 22:30
回复
6902765(金币+1): 谢谢参与
霏凡蕊儿4楼
2016-04-14 22:33
回复
6902765(金币+1): 谢谢参与
祝福
天涯20125楼
2016-04-14 22:54
回复
6902765(金币+1): 谢谢参与
laom20136楼
2016-04-14 22:55
回复
6902765(金币+1): 谢谢参与
2016-04-14 22:57
回复
6902765(金币+1): 谢谢参与
tzynew8楼
2016-04-14 22:57
回复
6902765(金币+1): 谢谢参与
tan91411楼
2016-04-14 23:29
回复
6902765(金币+1): 谢谢参与
tan91412楼
2016-04-14 23:30
回复
新城子曾13楼
2016-04-14 23:33
回复
6902765(金币+1): 谢谢参与
syhorchid14楼
2016-04-14 23:47
回复
6902765(金币+1): 谢谢参与
假大空15楼
2016-04-15 00:04
回复
6902765(金币+1): 谢谢参与


jixiangbao16楼
2016-04-15 00:06
回复
6902765(金币+1): 谢谢参与
shinesun9817楼
2016-04-15 01:59
回复
6902765(金币+1): 谢谢参与
arpwhfn6718楼
2016-04-15 02:26
回复
6902765(金币+1): 谢谢参与
祝福 发自小木虫Android客户端
star_zhang19楼
2016-04-15 04:26
回复
6902765(金币+1): 谢谢参与
祝福
springburn20楼
2016-04-15 04:49
回复
6902765(金币+1): 谢谢参与
祝福
BorjiginSMY21楼
2016-04-15 04:52
回复
6902765(金币+1): 谢谢参与
好 发自小木虫IOS客户端
探索社会22楼
2016-04-15 05:08
回复
Jameskelly23楼
2016-04-15 05:11
回复
6902765(金币+1): 谢谢参与
祝福
longwave24楼
2016-04-15 05:29
回复
6902765(金币+1): 谢谢参与
祝福 发自小木虫Android客户端
caledonian25楼
2016-04-15 05:37
回复
6902765(金币+1): 谢谢参与
祝福
Anita_123426楼
2016-04-15 05:50
回复
6902765(金币+1): 谢谢参与
Anita_12327楼
2016-04-15 06:07
回复
6902765(金币+1): 谢谢参与
小蜗牛_28楼
2016-04-15 06:10
回复
nono200929楼
2016-04-15 06:36
回复
6902765(金币+1): 谢谢参与
yangdw12345630楼
2016-04-15 06:57
回复
6902765(金币+1): 谢谢参与
yangdw12345931楼
2016-04-15 07:08
回复
6902765(金币+1): 谢谢参与
xhmaohan32楼
2016-04-15 07:31
回复
6902765(金币+1): 谢谢参与
shenrenren33楼
2016-04-15 07:50
回复
6902765(金币+1): 谢谢参与
sioc00734楼
2016-04-15 07:51
回复
6902765(金币+1): 谢谢参与
wtbccq50535楼
2016-04-15 08:04
回复
6902765(金币+1): 谢谢参与

yangyying36楼
2016-04-15 08:20
回复
6902765(金币+1): 谢谢参与
noriko37楼
2016-04-15 08:38
回复
6902765(金币+1): 谢谢参与
jiedao38楼
2016-04-15 08:39
回复
6902765(金币+1): 谢谢参与
yaoyao14539楼
2016-04-15 08:49
回复
6902765(金币+1): 谢谢参与
feng8272740楼
2016-04-15 08:51
回复
6902765(金币+1): 谢谢参与
祝福
旭哥旭哥41楼
2016-04-15 08:54
回复
6902765(金币+1): 谢谢参与
jyjydd42楼
2016-04-15 08:55
回复
6902765(金币+1): 谢谢参与
翰军43楼
2016-04-15 08:59
回复
6902765(金币+1): 谢谢参与


zhchzhsh207644楼
2016-04-15 09:10
回复
6902765(金币+1): 谢谢参与
祝福祝福
gorgan45楼
2016-04-15 09:11
回复
6902765(金币+1): 谢谢参与
祝福 [ 发自手机版 http://muchong.com/3g ]
江大眼睛46楼
2016-04-15 09:14
回复
6902765(金币+1): 谢谢参与

sjdklvh47楼
2016-04-15 09:24
回复
bdud48楼
2016-04-15 09:33
回复
6902765(金币+1): 谢谢参与
slytjiaofei49楼
2016-04-15 09:37
回复
6902765(金币+1): 谢谢参与














回复此楼
M75083
