| 查看: 1181 | 回复: 5 | |||
[求助]
甲醛交联聚丙烯酰胺聚合物的红外光谱分析 已有1人参与
|
|
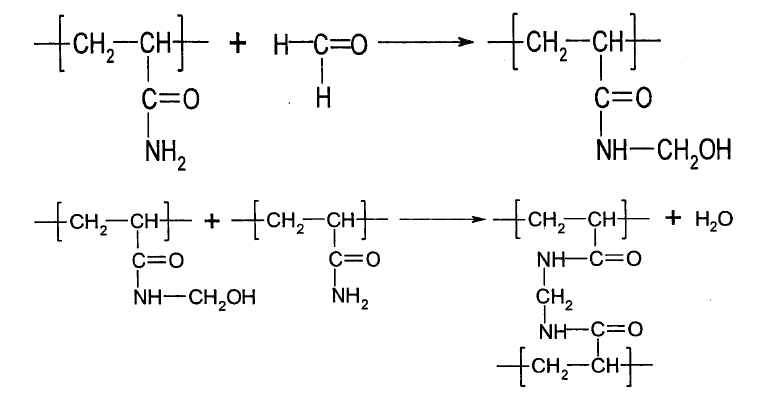
对照了半天 只认出来一个峰3407.49 N-H的伸缩振动 想问问其它峰是什么 有没有成功制得甲醛交联聚丙烯酰胺聚合物 谢谢 `F]I]Q3LR_%Y`O2XOOZ7GSB.jpg E{R[VJ8HJ[AY`ELDV]270EY.png@wyy080214@学术巨星@klicking@superyeast@鸭绿江畔 |
» 收录本帖的淘帖专辑推荐
Charactization 经验 |
» 猜你喜欢
291求调剂
已经有7人回复
材料与化工272求调剂
已经有13人回复
283求调剂(080500)
已经有5人回复
材料科学与工程求调剂
已经有5人回复
一志愿北京化工大学材料与化工(085600)296求调剂
已经有17人回复
考研调剂
已经有7人回复
343求调剂085601
已经有3人回复
08工科求调剂286
已经有3人回复
337求调剂
已经有3人回复
329求调剂,一志愿西北工业大学,材料工程(085601)
已经有10人回复
» 本主题相关价值贴推荐,对您同样有帮助:
部分常用有机物缩写
已经有16人回复
【资源】化学试剂英文缩写(很全的)
已经有30人回复
【资源】化学试剂英文缩写(研究生专用)
已经有21人回复
【资源】化学试剂英文缩写
已经有17人回复
2楼2016-04-14 07:34:55
3楼2016-04-14 07:35:58
4楼2016-04-14 20:58:57
hydros
金虫 (著名写手)
- ACI: 2
- 应助: 613 (博士)
- 金币: 1073.3
- 散金: 1218
- 红花: 65
- 帖子: 1889
- 在线: 249.7小时
- 虫号: 3334230
- 注册: 2014-07-22
- 性别: MM
- 专业: 中药药效物质
5楼2016-04-15 06:06:48
6楼2016-04-15 08:56:06














回复此楼
亦语轻柔