| ²é¿´: 2710 | »Ø¸´: 2 | |
| ¡¾ÐüÉͽð±Ò¡¿»Ø´ð±¾ÌûÎÊÌ⣬×÷Õßwuhaocom½«ÔùËÍÄú 20 ¸ö½ð±Ò | |
wuhaocomÌú¸Ëľ³æ (ÖøÃûдÊÖ)
|
[ÇóÖú]
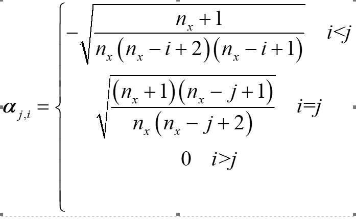
¡¾¹ØÓÚmathtype¡¿ÓôóÀ¨ºÅÊäÈë·Ö¶Îº¯Êý£¬ÈçºÎÈõõ½µÄ¹«Ê½Ðµ÷ºÃ¿´ ÒÑÓÐ1È˲ÎÓë
|
|
|
|
wuhaocomÌú¸Ëľ³æ (ÖøÃûдÊÖ)
|
|
|
2Â¥2016-04-13 15:55:48
|
|
perfectpointÌú¸Ëľ³æ (ÖøÃûдÊÖ)
|
|
|
3Â¥2016-04-13 18:52:01
|
|














»Ø¸´´ËÂ¥