| ²é¿´: 1738 | »Ø¸´: 12 | ||
goodstirlingÌú¸Ëľ³æ (ÕýʽдÊÖ)
|
[ÇóÖú]
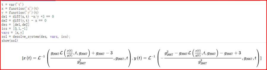
ÇëÎÊÕâÖÖ¶þ½×±äϵÊý·½³ÌÔõô½â£¿Çë°Ñ¹ý³Ìд³öÀ´£¬Ð»Ð» ÒÑÓÐ4È˲ÎÓë
|
|
|
¸÷·´óÉñÇëÎÊÕâÖÖ¶þ½×±äϵÊý·½³ÌÔõô½â£¿Âé·³¸½½âµÄ¹ý³Ì£¬Ð»Ð»¡£·½³ÌÖÐ"A"Ϊ³£Êý¡£ @laosam280 ¶þ½×±äϵÊý·½³Ì.jpg |
» ²ÂÄãϲ»¶
270Çóµ÷¼Á
ÒѾÓÐ8È˻ظ´
211±¾¿Æ²ÄÁÏ»¯¹¤Çóµ÷¼Á
ÒѾÓÐ6È˻ظ´
Çóµ÷¼Á
ÒѾÓÐ10È˻ظ´
Çóµ÷¼Á
ÒѾÓÐ11È˻ظ´
272·Ö²ÄÁÏ×ÓÇóµ÷¼Á
ÒѾÓÐ43È˻ظ´
271Çóµ÷¼Á
ÒѾÓÐ13È˻ظ´
283Çóµ÷¼Á 086004¿¼Ó¢¶þÊý¶þ
ÒѾÓÐ16È˻ظ´
085410 273·Öµ÷¼Á
ÒѾÓÐ4È˻ظ´
Ò»Ö¾Ô¸Ïôó0856£¬306Çóµ÷¼Á
ÒѾÓÐ3È˻ظ´
304Çóµ÷¼Á£¨085602£¬¹ýËļ¶£¬Ò»Ö¾Ô¸985£©
ÒѾÓÐ28È˻ظ´
vect
ÖÁ×ðľ³æ (ÖøÃûдÊÖ)
- Ó¦Öú: 171 (¸ßÖÐÉú)
- ½ð±Ò: 18942.5
- É¢½ð: 31
- ºì»¨: 19
- Ìû×Ó: 2033
- ÔÚÏß: 938.3Сʱ
- ³æºÅ: 545022
- ×¢²á: 2008-04-13
- ÐÔ±ð: GG
- רҵ: Êýѧ
¡¾´ð°¸¡¿Ó¦Öú»ØÌû
¸Ðл²ÎÓ룬ӦÖúÖ¸Êý +1
|
Õâ¸ö²»ÄܳƱäϵÊý°É¡£Ó¦¸Ã½Ð¶þ½×·ÇÏßÐÔ¡£Õý³£Ó¦¸ÃÎÞ·¨Çó½â [ ·¢×ÔÊÖ»ú°æ http://muchong.com/3g ] |
2Â¥2016-04-10 23:48:02
peterflyer
ľ³æÖ®Íõ (ÎÄѧ̩¶·)
peterflyer
- ÊýѧEPI: 10
- Ó¦Öú: 20282 (Ժʿ)
- ½ð±Ò: 146244
- ºì»¨: 1374
- Ìû×Ó: 93091
- ÔÚÏß: 7694.3Сʱ
- ³æºÅ: 1482829
- ×¢²á: 2011-11-08
- ÐÔ±ð: GG
- רҵ: ¹¦ÄÜÌÕ´É
¡¾´ð°¸¡¿Ó¦Öú»ØÌû
¸Ðл²ÎÓ룬ӦÖúÖ¸Êý +1
|
¿´À´Ö»ÓÐÏȽ«·½³Ì½µ½×£¬È»ºóÔÙÏë±ðµÄ°ì·¨ÁË¡£±¾·½³ÌÁ½±ßÕýºÃ¿ÉÒÔ´Õ³ÉÒ»¸ö΢·ÖÐÎʽ£¬¹ÊÓУº dH/dt-LnH-A*t=C £¬ÆäÖÐCΪ»ý·Ö³£Êý¡£ |
9Â¥2016-04-12 03:33:55
ÎäÁÖÌì½¾
ľ³æ (ÕýʽдÊÖ)
- Ó¦Öú: 9 (Ó×¶ùÔ°)
- ½ð±Ò: 4741.2
- É¢½ð: 49
- ºì»¨: 5
- Ìû×Ó: 389
- ÔÚÏß: 325.2Сʱ
- ³æºÅ: 2716957
- ×¢²á: 2013-10-11
- רҵ: ³£Î¢·Ö·½³ÌÓ붯Á¦ÏµÍ³
4Â¥2016-04-11 01:53:28
m06z511
ľ³æ (Ö°Òµ×÷¼Ò)
- Ó¦Öú: 48 (СѧÉú)
- ½ð±Ò: 13430.3
- É¢½ð: 120
- ºì»¨: 46
- Ìû×Ó: 3802
- ÔÚÏß: 602.3Сʱ
- ³æºÅ: 537722
- ×¢²á: 2008-04-01
- רҵ: »ù´¡ÎïÀíѧ
¡¾´ð°¸¡¿Ó¦Öú»ØÌû
¡ï ¡ï ¡ï ¡ï ¡ï ¡ï ¡ï ¡ï ¡ï ¡ï ¡ï ¡ï ¡ï ¡ï ¡ï ¡ï ¡ï ¡ï ¡ï ¡ï ¡ï ¡ï ¡ï ¡ï ¡ï ¡ï ¡ï ¡ï ¡ï ¡ï
¸Ðл²ÎÓ룬ӦÖúÖ¸Êý +1
goodstirling: ½ð±Ò+30, ¡ï¡ï¡ïºÜÓаïÖú, 20 2016-04-12 23:41:40
¸Ðл²ÎÓ룬ӦÖúÖ¸Êý +1
goodstirling: ½ð±Ò+30, ¡ï¡ï¡ïºÜÓаïÖú, 20 2016-04-12 23:41:40
8Â¥2016-04-11 20:35:52
ÎäÁÖÌì½¾
ľ³æ (ÕýʽдÊÖ)
- Ó¦Öú: 9 (Ó×¶ùÔ°)
- ½ð±Ò: 4741.2
- É¢½ð: 49
- ºì»¨: 5
- Ìû×Ó: 389
- ÔÚÏß: 325.2Сʱ
- ³æºÅ: 2716957
- ×¢²á: 2013-10-11
- רҵ: ³£Î¢·Ö·½³ÌÓ붯Á¦ÏµÍ³
3Â¥2016-04-11 00:26:53
Edstrayer
°æÖ÷ (ÖøÃûдÊÖ)
·½´ç¶·ÊÒСÌìµØÕýÆøÃÔÂþ´óÊÀ½ç
- ÊýѧEPI: 7
- Ó¦Öú: 157 (¸ßÖÐÉú)
- ¹ó±ö: 0.927
- ½ð±Ò: 9349.6
- É¢½ð: 4503
- ºì»¨: 77
- ɳ·¢: 2
- Ìû×Ó: 2745
- ÔÚÏß: 1465.6Сʱ
- ³æºÅ: 3086598
- ×¢²á: 2014-03-25
- ¹ÜϽ: Êýѧ

5Â¥2016-04-11 02:57:36
ÄäÃû
Óû§×¢Ïú (ÖøÃûдÊÖ)
- Ó¦Öú: 43 (СѧÉú)
- ½ð±Ò: 140.5
- É¢½ð: 4436
- ºì»¨: 21
- Ìû×Ó: 2312
- ÔÚÏß: 743.3Сʱ
- ³æºÅ: 0
- ×¢²á: 2010-11-04
- ÐÔ±ð: GG
- רҵ: ¶¯Á¦Ñ§Óë¿ØÖÆ
6Â¥2016-04-11 05:31:34
gold2007
¾èÖú¹ó±ö (ÕýʽдÊÖ)
- Ó¦Öú: 6 (Ó×¶ùÔ°)
- ½ð±Ò: 6394.3
- É¢½ð: 679
- ºì»¨: 18
- Ìû×Ó: 824
- ÔÚÏß: 200.6Сʱ
- ³æºÅ: 2348409
- ×¢²á: 2013-03-12
- רҵ: ¹ÌÌåÁ¦Ñ§
7Â¥2016-04-11 07:57:28
watesoyan
½ð³æ (ÕýʽдÊÖ)
- Ó¦Öú: 20 (СѧÉú)
- ½ð±Ò: 1795.3
- É¢½ð: 60
- ºì»¨: 7
- Ìû×Ó: 442
- ÔÚÏß: 108Сʱ
- ³æºÅ: 3329251
- ×¢²á: 2014-07-18
- רҵ: ¼¤¹â
10Â¥2016-04-13 17:30:48













»Ø¸´´ËÂ¥
