| 查看: 694 | 回复: 4 | |
i维数木虫 (正式写手)
|
[求助]
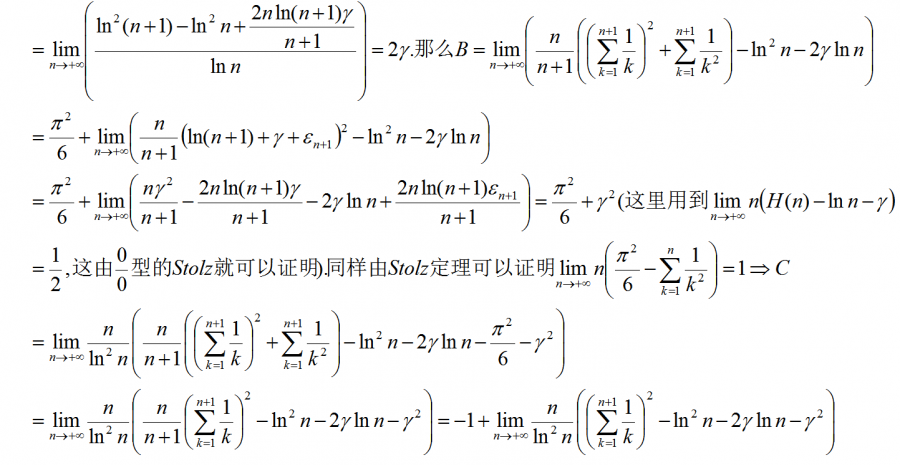
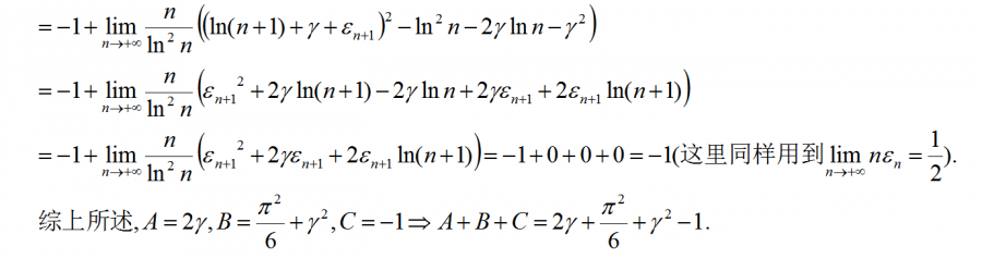
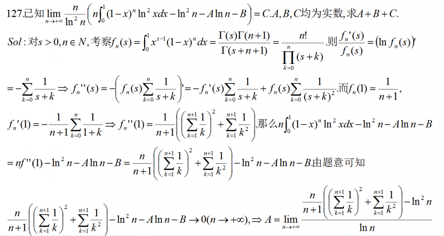
极限题求证明
|
|
|
|
hank612至尊木虫 (著名写手)
|
|
![]() |
|
|
2楼2016-06-06 11:59:57
|
|
i维数木虫 (正式写手)
|
|
|
3楼2016-06-06 22:36:52
|
|
hank612至尊木虫 (著名写手)
|
|
![]() |
|
|
4楼2016-06-07 01:06:10
|
|
i维数木虫 (正式写手)
|
|
|
5楼2016-06-07 21:03:17
|
|













回复此楼

5