| ²é¿´: 1470 | »Ø¸´: 10 | ||
richielikunгæ (³õÈëÎÄ̳)
|
[ÇóÖú]
СµÜ¶Ôµç»¯Ñ§Ò»Çϲ»Í¨£¬Çó´óÉñÖ¸½Ì£¬×迹ͼÓÃʲôµç·ͼµÈЧ£¿24СʱÔÚÏߵȡ£ ÒÑÓÐ1È˲ÎÓë
|
| ¸½ÉÏÁ½¸ö×迹Êý¾Ý£¬¹òÇó´óÉñ´Í½Ì@langzhizhou@louderbe |
» ²ÂÄãϲ»¶
ÕÐÊÕ
ÒѾÓÐ0È˻ظ´
Î÷ÄÏij211ÕÐ27½ì²©Ê¿
ÒѾÓÐ33È˻ظ´
·ÖÎö»¯Ñ§ÂÛÎÄÈóÉ«/·ÒëÔõôÊÕ·Ñ?
ÒѾÓÐ266È˻ظ´
´óÁ¬¹¤Òµ½ÜÇà/³¤½ÍŶÓ-ÉúÎïÖʲÄÁÏ-´¢ÄÜµç³Ø·½ÏòÕÐÊÕ2026¼¶²©Ê¿Éú
ÒѾÓÐ0È˻ظ´
Çóµ÷¼ÁÒ»Ö¾Ô¸º£´ó£¬0703»¯Ñ§Ñ§Ë¶304·Ö£¬Óдó´´ÏîÄ¿£¬Ëļ¶Òѹý
ÒѾÓÐ10È˻ظ´
070300 Çóµ÷¼Á
ÒѾÓÐ1È˻ظ´
ÉîÛÚ´óѧ¸ßµÈÑо¿ÔºÕÔΰ¿ÎÌâ×éÕÐÊÕ»¯Ñ§µ÷¼ÁÉú
ÒѾÓÐ3È˻ظ´
Çൺ´óѧ¹Ì̬µç³ØÑо¿ÍŶÓÕÐÊÕ²ÄÁÏ¡¢»¯Ñ§¡¢ÎïÀíµÈ·½Ïò²©Ê¿Ñо¿Éú
ÒѾÓÐ18È˻ظ´
»¯Ñ§¹¤³Ì085602 305·ÖÇóµ÷¼Á
ÒѾÓÐ9È˻ظ´
È£²¡ÓëÑÀÖܲ¡µÄ±íÊö
ÒѾÓÐ0È˻ظ´
070300»¯Ñ§Çóµ÷¼Á
ÒѾÓÐ10È˻ظ´
richielikun
гæ (³õÈëÎÄ̳)
- Ó¦Öú: 0 (Ó×¶ùÔ°)
- ½ð±Ò: 4.8
- Ìû×Ó: 42
- ÔÚÏß: 45.1Сʱ
- ³æºÅ: 2485958
- ×¢²á: 2013-05-28
- רҵ: ¸ÖÌúÒ±½ð
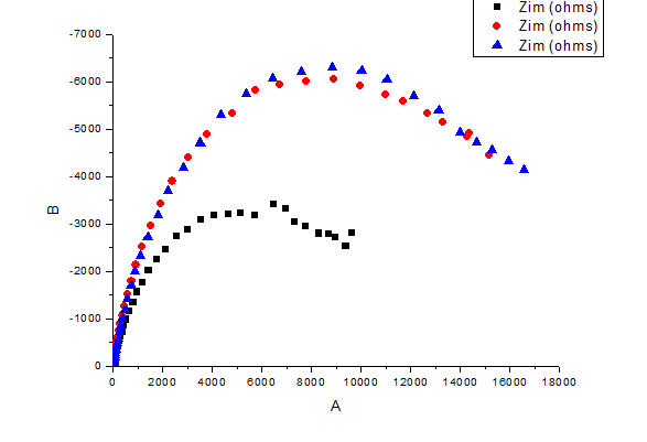
| µÚÒ»ÎļþÊÇorigin×ö³öµÄ×迹ͼ£¬ºóÁ½¸öÊÇÊý¾Ý |
» ±¾Ìû¸½¼þ×ÊÔ´Áбí
-
»¶Ó¼à¶½ºÍ·´À¡£ºÐ¡Ä¾³æ½öÌṩ½»Á÷ƽ̨£¬²»¶Ô¸ÃÄÚÈݸºÔð¡£
±¾ÄÚÈÝÓÉÓû§×ÔÖ÷·¢²¼£¬Èç¹ûÆäÄÚÈÝÉæ¼°µ½ÖªÊ¶²úȨÎÊÌ⣬ÆäÔðÈÎÔÚÓÚÓû§±¾ÈË£¬Èç¶Ô°æÈ¨ÓÐÒìÒ飬ÇëÁªÏµÓÊÏ䣺xiaomuchong@tal.com - ¸½¼þ 1 : ×迹.docx
- ¸½¼þ 2 : 0-1zukang1#.txt
- ¸½¼þ 3 : 7zuangk1.txt
2016-04-10 19:55:57, 36.11 K
2016-04-10 19:56:08, 2.31 K
2016-04-10 19:56:08, 2.31 K
2Â¥2016-04-10 19:57:07
richielikun
гæ (³õÈëÎÄ̳)
- Ó¦Öú: 0 (Ó×¶ùÔ°)
- ½ð±Ò: 4.8
- Ìû×Ó: 42
- ÔÚÏß: 45.1Сʱ
- ³æºÅ: 2485958
- ×¢²á: 2013-05-28
- רҵ: ¸ÖÌúÒ±½ð
3Â¥2016-04-10 21:44:59
fuzheng0721
ľ³æ (ÕýʽдÊÖ)
- Ó¦Öú: 24 (СѧÉú)
- ½ð±Ò: 3895.9
- É¢½ð: 50
- ºì»¨: 4
- Ìû×Ó: 330
- ÔÚÏß: 196.3Сʱ
- ³æºÅ: 2738880
- ×¢²á: 2013-10-20
- ÐÔ±ð: GG
- רҵ: µç»¯Ñ§

4Â¥2016-04-10 22:22:38
fuzheng0721
ľ³æ (ÕýʽдÊÖ)
- Ó¦Öú: 24 (СѧÉú)
- ½ð±Ò: 3895.9
- É¢½ð: 50
- ºì»¨: 4
- Ìû×Ó: 330
- ÔÚÏß: 196.3Сʱ
- ³æºÅ: 2738880
- ×¢²á: 2013-10-20
- ÐÔ±ð: GG
- רҵ: µç»¯Ñ§

5Â¥2016-04-10 22:26:43
richielikun
гæ (³õÈëÎÄ̳)
- Ó¦Öú: 0 (Ó×¶ùÔ°)
- ½ð±Ò: 4.8
- Ìû×Ó: 42
- ÔÚÏß: 45.1Сʱ
- ³æºÅ: 2485958
- ×¢²á: 2013-05-28
- רҵ: ¸ÖÌúÒ±½ð
6Â¥2016-04-11 01:29:01
richielikun
гæ (³õÈëÎÄ̳)
- Ó¦Öú: 0 (Ó×¶ùÔ°)
- ½ð±Ò: 4.8
- Ìû×Ó: 42
- ÔÚÏß: 45.1Сʱ
- ³æºÅ: 2485958
- ×¢²á: 2013-05-28
- רҵ: ¸ÖÌúÒ±½ð
7Â¥2016-04-11 01:39:34
110730214
ľ³æ (СÓÐÃûÆø)
- Ó¦Öú: 13 (СѧÉú)
- ½ð±Ò: 1785.5
- É¢½ð: 100
- ºì»¨: 3
- ɳ·¢: 1
- Ìû×Ó: 268
- ÔÚÏß: 116.4Сʱ
- ³æºÅ: 3150721
- ×¢²á: 2014-04-20
- ÐÔ±ð: GG
- רҵ: µç»¯Ñ§
|
¸Ð¾õûÓÐŨ²î¼«»¯£¬Ã»ÓÐÈÜÒº×迹£¬µç·ͼ¿ÉÒÔÊÇÒ»¸öµç×èºÍÒ»¸öµçÈÝÆ÷²¢Áª¾Í¿ÉÒÔÁ˰ɣ¬´ú±íµç»¯Ñ§¼«»¯ ·¢×ÔСľ³æAndroid¿Í»§¶Ë |
8Â¥2016-04-12 22:23:00
ĺɫhz
½ð³æ (ÕýʽдÊÖ)
- Ó¦Öú: 2 (Ó×¶ùÔ°)
- ½ð±Ò: 1065.4
- É¢½ð: 350
- ºì»¨: 1
- Ìû×Ó: 447
- ÔÚÏß: 30Сʱ
- ³æºÅ: 2521645
- ×¢²á: 2013-06-26
- ÐÔ±ð: GG
- רҵ: ·Ûĩұ½ðÓë·ÛÌ幤³Ì
|
¿ÉÒÔ½éÉÜÒ»¸öÈí¼þ£¬Zsimpwin. Сľ³æÀïÃæÓеÄÏÂÔØ£¬¿ÉÒÔ¶Ô×迹ͼ×öÄâºÏ³ÉµÈЧµç· ·¢×ÔСľ³æAndroid¿Í»§¶Ë |
9Â¥2016-04-14 22:57:58
richielikun
гæ (³õÈëÎÄ̳)
- Ó¦Öú: 0 (Ó×¶ùÔ°)
- ½ð±Ò: 4.8
- Ìû×Ó: 42
- ÔÚÏß: 45.1Сʱ
- ³æºÅ: 2485958
- ×¢²á: 2013-05-28
- רҵ: ¸ÖÌúÒ±½ð
10Â¥2016-04-15 00:19:54













»Ø¸´´ËÂ¥