| 查看: 2478 | 回复: 6 | ||
| 当前只显示满足指定条件的回帖,点击这里查看本话题的所有回帖 | ||
立寒@lee木虫 (正式写手)
|
[求助]
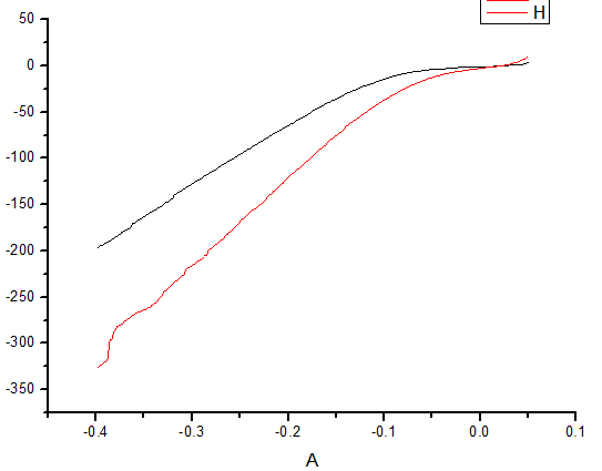
电分解水的析氢反应的极化曲线中的哪段电势区间是塔菲尔区间?怎么拟合出tafei值 已有2人参与
|
|
| 我最近在做HER的塔菲尔曲线,发现拟合时选取不同的电势区间拟合出来的tafel数值差别很大,所以想请教一下应该选哪段电势区间去拟合? |
» 猜你喜欢
青岛大学化学化工学院分子测量学研究院2026年招收博士研究生
已经有0人回复
香港科技大学(广州)诚招电催化方向博士生(2026秋入学)
已经有0人回复
物理化学论文润色/翻译怎么收费?
已经有120人回复
求助Cu2+1O的CIF文件(PDF: 05-0667)
已经有1人回复
KAUST(阿卜杜拉国王科技大学)MXene 器件方向博士后招聘
已经有0人回复
沙特阿拉伯阿卜杜拉国王科技大学(KAUST)电池方向博士后招聘
已经有0人回复
福州大学新能源材料与工程研究院招收2026年入学博士
已经有0人回复
海南师范大学2026年博士研究生招收 (在职想提升学历人员可报考) 申请考核制
已经有0人回复
锂离子电池循环寿命衰减过快,求机理分析与改进思路
已经有1人回复
求博导收留
已经有5人回复
346106241
木虫 (著名写手)
- 应助: 8 (幼儿园)
- 金币: 11251.2
- 散金: 24
- 红花: 1
- 帖子: 1203
- 在线: 185.5小时
- 虫号: 1223769
- 注册: 2011-03-07
- 性别: GG
- 专业: 电化学
3楼2016-04-11 08:16:13
2楼2016-04-10 14:33:17
立寒@lee
木虫 (正式写手)
- 应助: 0 (幼儿园)
- 金币: 934.1
- 散金: 273
- 帖子: 343
- 在线: 89.6小时
- 虫号: 1345535
- 注册: 2011-07-14
- 性别: GG
- 专业: 无机材料化学
4楼2016-04-12 09:31:42
立寒@lee
木虫 (正式写手)
- 应助: 0 (幼儿园)
- 金币: 934.1
- 散金: 273
- 帖子: 343
- 在线: 89.6小时
- 虫号: 1345535
- 注册: 2011-07-14
- 性别: GG
- 专业: 无机材料化学
5楼2016-04-12 09:33:39













回复此楼