| 查看: 1202 | 回复: 1 | |
xubeibei0413新虫 (初入文坛)
|
[求助]
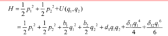
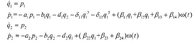
关于哈密顿系统中哈密顿系统首次积分交流
|
|
|
|
xubeibei0413新虫 (初入文坛)
|
|
|
2楼2016-04-11 17:02:02
|
|














)
回复此楼