Znn3bq.jpeg
²é¿´: 281  |  »Ø¸´: 0

hgy01

гæ (³õÈëÎÄ̳)

[ÇóÖú] Ò»¸ö2ά·ÇÏßÐÔ¡¢·Ç×ÔÖÎϵͳµÄÏàÆ½Ãæ·ÖÎöÇóÖú

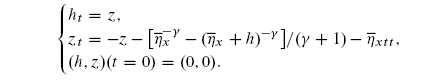
Çó´óÉñÖ¸µã¸½¼þÖеÄODEϵͳµÄÏàÆ½Ãæ·ÖÎö. ÌØ±ðµØ£¬Ï£Íû×îºóÄÜÖ¤Ã÷£¬ h\geq 0. лл£¡£¡
Ò»¸ö2ά·ÇÏßÐÔ¡¢·Ç×ÔÖÎϵͳµÄÏàÆ½Ãæ·ÖÎöÇóÖú
11.png


Ò»¸ö2ά·ÇÏßÐÔ¡¢·Ç×ÔÖÎϵͳµÄÏàÆ½Ãæ·ÖÎöÇóÖú-1
111.png
»Ø¸´´ËÂ¥

» ²ÂÄãϲ»¶

ÒÑÔÄ   »Ø¸´´ËÂ¥   ¹Ø×¢TA ¸øTA·¢ÏûÏ¢ ËÍTAºì»¨ TAµÄ»ØÌû
Ïà¹Ø°æ¿éÌø×ª ÎÒÒª¶©ÔÄÂ¥Ö÷ hgy01 µÄÖ÷Ìâ¸üÐÂ
×î¾ßÈËÆøÈÈÌûÍÆ¼ö [²é¿´È«²¿] ×÷Õß »Ø/¿´ ×îºó·¢±í
[¿¼ÑÐ] ²ÄÁϹ¤³Ì281»¹Óе÷¼Á»ú»áÂð +24 xaw. 2026-04-11 24/1200 2026-04-12 10:32 by Öí»á·É
[¿¼ÑÐ] 347Çóµ÷¼Á +4 mhyqyy 2026-04-06 4/200 2026-04-12 02:27 by Çï¶¹²ËÑ¿
[¿¼ÑÐ] Ò»Ö¾Ô¸Ö£ÖÝ´óѧ 22408 305·ÖÇóµ÷¼Á +5 °²Ð¡Âúzzz 2026-04-08 5/250 2026-04-12 00:41 by À¶ÔÆË¼Óê
[¿¼ÑÐ] »¯Ñ§308·ÖÇóµ÷¼Á +22 ÄãºÃÃ÷ÌìÄãºÃ 2026-04-07 24/1200 2026-04-11 11:14 by ChemPharm
[¿¼ÑÐ] 298Çóµ÷¼Á +5 ²ÐºÉÐÂÁø 2026-04-07 5/250 2026-04-11 11:02 by ×ÏêØ×ÏÆå
[¿¼ÑÐ] 0854µ÷¼Á +5 ÒôÏñµêÌý»¨¹ÄÏ· 2026-04-10 5/250 2026-04-11 10:49 by qingpingzhu
[¿¼ÑÐ] 085404 293Çóµ÷¼Á +9 ÓÂÔ¶¿â°®314 2026-04-06 10/500 2026-04-11 10:36 by ×ÏêØ×ÏÆå
[¿¼ÑÐ] 22408 352·ÖÇóµ÷¼Á0854Àà +4 ŬÁ¦µÄÏÄÄ© 2026-04-09 4/200 2026-04-11 09:57 by zhq0425
[¿¼ÑÐ] µ÷¼Á +12 ¾í¾í¾íÐIJË_ 2026-04-09 13/650 2026-04-10 22:36 by Ftglcn90
[¿¼ÑÐ] ÉúÎïѧ308·ÖÇóµ÷¼Á£¨Ò»Ö¾Ô¸»ª¶«Ê¦´ó£©×ö¹ý·Ö×ÓʵÑé +8 ÏàÐűػá¹ââÍòÕ 2026-04-07 9/450 2026-04-10 21:03 by zhouxiaoyu
[¿¼ÑÐ] 298Çóµ÷¼Á +13 ¶¤¶£ß˶¬¹Ï 2026-04-09 13/650 2026-04-10 15:49 by jiajinhpu
[¿¼ÑÐ] »úе»¹Óл¹ÓÐÃû¶îÂð£¿Ì«ÄÑÁË +6 ЦЦԬ 2026-04-10 6/300 2026-04-10 11:54 by ¸ßά´º
[¿¼ÑÐ] 314Çóµ÷¼Á +14 weltZeng 2026-04-09 14/700 2026-04-09 23:14 by wolf97
[¿¼ÑÐ] 085400µç×ÓÐÅÏ¢Àࣨ´¨´ó¿ØÖƹ¤³Ì£©Çóµ÷¼Á¿É¿çרҵ ÇóÀÏʦÁªÏµ +3 626776879 2026-04-08 3/150 2026-04-09 16:05 by Öí»á·É
[¿¼ÑÐ] 085801 ×Ü·Ö275 ±¾¿ÆÐÂÄÜÔ´ Çóµ÷¼Á +8 bradoner 2026-04-08 9/450 2026-04-09 13:43 by onlyÖÜ
[¿¼ÑÐ] ²ÄÁϵ÷¼Á +14 Ò»ÑùYWY 2026-04-06 14/700 2026-04-08 23:00 by Öí»á·É
[¿¼ÑÐ] 307Çóµ÷¼Á +3 ËùÄî¼°ËùÍû 2026-04-06 3/150 2026-04-06 17:30 by ÍÁľ˶ʿÕÐÉú
[¿¼ÑÐ] 22408 331·ÖÇóµ÷¼Á +4 y__1 2026-04-06 4/200 2026-04-06 17:26 by ÍÁľ˶ʿÕÐÉú
[¿¼ÑÐ] 319Çóµ÷¼Á +3 handrui 2026-04-05 3/150 2026-04-06 09:33 by jp9609
[¿¼ÑÐ] 085500»úеר˶³õÊÔ288Çóµ÷¼Á +3 GZJguo666- 2026-04-05 3/150 2026-04-05 18:06 by jkddd
ÐÅÏ¢Ìáʾ
ÇëÌî´¦ÀíÒâ¼û