| 查看: 295 | 回复: 0 | ||
[求助]
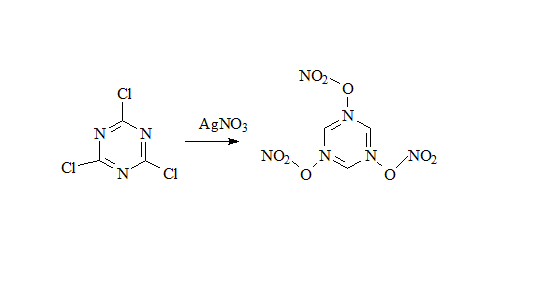
求助合成1,3,5-三嗪-2,4,6-三硝酸酯
|
|
用三聚氢氯和硝酸银反应合成1,3,5-三嗪-2,4,6-三硝酸酯,如下图所示,有没有相关文献?或者其他方法合成1,3,5-三嗪-2,4,6-三硝酸酯的文献也可以 {C1~2K9LB00FLP1[M(6~0@X.png@voyager88@药道人 |
» 猜你喜欢
使用MolAICal进行多肽虚拟筛选教程-同样适用于蛋白质和核酸的虚拟筛选
已经有1人回复
使用MolAICal计算药物化学过滤器MCFs及MCE-18描述符
已经有0人回复
药物学论文润色/翻译怎么收费?
已经有142人回复
使用MolAICal发现蛋白受体潜在的活性口袋及位点
已经有0人回复
288分求调剂
已经有0人回复
华理药学学硕求调剂,总分324
已经有0人回复
一志愿苏州大学 生物技术与工程(086001) 初试323分,求调剂
已经有0人回复
澳门理工大学人工智能药物发现中心招收2026级博士研究生(申请-考核制)
已经有10人回复
三年实验室工作经历,一志愿华中农业大学微生物,总分288求调剂
已经有0人回复
070700求调剂
已经有1人回复













回复此楼