| 查看: 589 | 回复: 1 | |||
[求助]
流变测试不稳定求助 已有1人参与
|
|
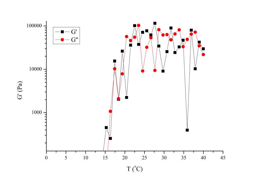
用HAAKE RS6000测定F127的溶胶-凝胶转换,平板直径20mm,间距1mm,应变1%,扫描温度,每个温度稳定3分钟。结果如图所示,拨动很大,求教原因以及如何操作? merged mechanical tests.jpg |
» 猜你喜欢
一志愿河北工业大学0817化工278分求调剂
已经有3人回复
化学308分求调剂
已经有3人回复
085600材料与化工调剂
已经有11人回复
335分 | 材料与化工专硕 | GPA 4.07 | 有科研经历
已经有3人回复
一志愿武理材料工程348求调剂
已经有9人回复
279分求调剂 一志愿211
已经有18人回复
0703化学求调剂
已经有5人回复
材料292调剂
已经有3人回复
一志愿陕师大生物学071000,298分,求调剂
已经有3人回复
306求0703调剂一志愿华中师范
已经有7人回复
bionics
专家顾问 (职业作家)
-

专家经验: +1523 - 应助: 1029 (博后)
- 贵宾: 0.497
- 金币: 27180.9
- 散金: 295
- 红花: 328
- 帖子: 3680
- 在线: 657.8小时
- 虫号: 531163
- 注册: 2008-03-23
- 专业: 有机高分子材料
- 管辖: 高分子

2楼2016-04-08 09:27:53













回复此楼
5