| ²é¿´: 421 | »Ø¸´: 2 | ||
ÍòÄܵÄÇàÄêͳæ (ÕýʽдÊÖ)
|
[ÇóÖú]
ÈÈÖØ·ÖÎö£¡ÇóÖú
|
|
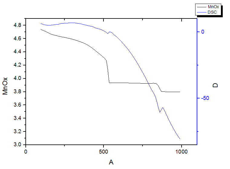
´ß»¯¼ÁµÄǰÇýÌå¶¼ÊÇ̼ËáÑÎ µ«ÊǺ¬¸ÆµÄÀï±ßûÓÐ̼Ëá¸ÆµÄ·Ö½â·å Õâ¸öÈÈÖØµ½µ×Ôõô·ÖÎö ÍøÉϲéÁË Ã»ÓÐÃ÷È·µÄ½Ì³Ì ´Ó·Ö½âζÈÉÏÄܶ϶¨ÊÇʲôÎïÖÊÂð @A{%49F1I{_J`X5@V5YM`54.png 2M%EU~L6$M1HJ43C)%IX5MX.png |
» ²ÂÄãϲ»¶
µ÷¼ÁÇóÊÕÁô
ÒѾÓÐ6È˻ظ´
»¯Ñ§308·ÖÇóµ÷¼Á
ÒѾÓÐ5È˻ظ´
0703»¯Ñ§338Çóµ÷¼Á£¡
ÒѾÓÐ6È˻ظ´
286Çóµ÷¼Á
ÒѾÓÐ4È˻ظ´
Çóµ÷¼ÁÍÆ¼ö ²ÄÁÏ 304
ÒѾÓÐ3È˻ظ´
336²ÄÁÏÇóµ÷¼Á
ÒѾÓÐ7È˻ظ´
²ÄÁÏѧ˶333Çóµ÷¼Á
ÒѾÓÐ6È˻ظ´
Ò»Ö¾Ô¸Ö£ÖÝ´óѧ£¬080500ѧ˶£¬×Ü·Ö317·ÖÇóµ÷¼Á
ÒѾÓÐ5È˻ظ´
351Çóµ÷¼Á
ÒѾÓÐ3È˻ظ´
316Çóµ÷¼Á
ÒѾÓÐ3È˻ظ´
ÍòÄܵÄÇàÄê
ͳæ (ÕýʽдÊÖ)
- Ó¦Öú: 9 (Ó×¶ùÔ°)
- ½ð±Ò: 1651.5
- É¢½ð: 1
- ºì»¨: 9
- Ìû×Ó: 362
- ÔÚÏß: 43.8Сʱ
- ³æºÅ: 2614585
- ×¢²á: 2013-08-24
- רҵ: »·¾³¹¤³Ì
2Â¥2016-04-05 16:21:29
ÍòÄܵÄÇàÄê
ͳæ (ÕýʽдÊÖ)
- Ó¦Öú: 9 (Ó×¶ùÔ°)
- ½ð±Ò: 1651.5
- É¢½ð: 1
- ºì»¨: 9
- Ìû×Ó: 362
- ÔÚÏß: 43.8Сʱ
- ³æºÅ: 2614585
- ×¢²á: 2013-08-24
- רҵ: »·¾³¹¤³Ì
3Â¥2016-04-05 19:37:38













»Ø¸´´ËÂ¥
5