| 查看: 713 | 回复: 4 | ||
我不是好汉木虫 (著名写手)
|
[求助]
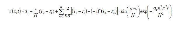
求大神用MATLAB帮我写下这个公式,谢谢了。菜鸟还在学 已有1人参与
|
求大神用MATLAB帮我写下这个公式,谢谢了。菜鸟还在学![]() @月只蓝8.jpg |
» 猜你喜欢
请问还有没有用Latex写文章的小伙伴们?
已经有0人回复
光学工程学硕调剂信息
已经有32人回复
物理学I论文润色/翻译怎么收费?
已经有162人回复
欢迎加入课题组
已经有0人回复
散金币,求好运,祝面上顺利!
已经有78人回复
华东师范大学芯片设计徐珑真实水平咋样
已经有1人回复
调剂
已经有0人回复
【新加坡】纳米电子器件项目组有“联合培养博士生”名额
已经有0人回复
中德博士后2026项目5月30日截止- 国内博士后入站、德国两年全职
已经有0人回复
面向全球申请人的中德博士后2026项目5月30日截止- 国内博后入站德国两年全职
已经有0人回复
【新加坡】纳米电子器件项目组有“联合培养博士生”名额
已经有2人回复
aristarchus
铜虫 (初入文坛)
- 应助: 2 (幼儿园)
- 金币: 50.1
- 帖子: 41
- 在线: 28.2小时
- 虫号: 540756
- 注册: 2008-04-06
- 专业: 凝聚态物性 II :电子结构
2楼2016-04-05 05:40:01
我不是好汉
木虫 (著名写手)
- 应助: 0 (幼儿园)
- 金币: 4496.1
- 散金: 396
- 红花: 4
- 帖子: 1359
- 在线: 183.3小时
- 虫号: 3731592
- 注册: 2015-03-12
- 性别: GG
- 专业: 计算机软件
3楼2016-04-05 08:36:06
aristarchus
铜虫 (初入文坛)
- 应助: 2 (幼儿园)
- 金币: 50.1
- 帖子: 41
- 在线: 28.2小时
- 虫号: 540756
- 注册: 2008-04-06
- 专业: 凝聚态物性 II :电子结构
4楼2016-04-05 17:04:37
aristarchus
铜虫 (初入文坛)
- 应助: 2 (幼儿园)
- 金币: 50.1
- 帖子: 41
- 在线: 28.2小时
- 虫号: 540756
- 注册: 2008-04-06
- 专业: 凝聚态物性 II :电子结构
5楼2016-04-06 02:56:08














回复此楼