| ²é¿´: 1143 | »Ø¸´: 3 | ||
erictan2046ͳæ (ÕýʽдÊÖ)
|
[ÇóÖú]
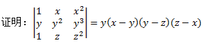
[»ù´¡]±ðÔÙ×öʲô´úÊýÓà×ÓʽÁË£¬ÕâÌâÐÐÁÐʽ֤Ã÷ÌâÎÒÓд𰸣¬ÄãÃÇ¿´¿´ÄÜÅä·½µÃ³öÀ´Ã´£¿ ÒÑÓÐ1È˲ÎÓë
|
|
±ðÔÙ¸úÎÒ˵ʲô´úÊýÓà×Óʽ°¡»¹ÊÇÓÃÐÔÖʽ⡣ÎÒÓдð°¸ÁË¡£ ÓÃÈøÀ˹·¨¿ÉÒÔ½âµÃµ½Ã´£¿£¿£¿£¿£¿È»ºóÓõõ½Åä·½·¨Ã´£¿ÌâÄ¿ÈçÏ£º 1111111.PNG |
» ²ÂÄãϲ»¶
290Çóµ÷¼Á
ÒѾÓÐ6È˻ظ´
Çóµ÷¼Á£¬Ò»Ö¾Ô¸²ÄÁÏ¿ÆÑ§Ó빤³Ì985£¬365·Ö£¬
ÒѾÓÐ9È˻ظ´
ɽ¶«¸ßУ½Ìʦ¿¼ºË³¬¼¶ÎÞµ×Ïߣ¬Ô±¹¤¹ý²»ÏÂÈ¥À²
ÒѾÓÐ9È˻ظ´
085410 273Çóµ÷¼Á
ÒѾÓÐ9È˻ظ´
297Çóµ÷¼Á
ÒѾÓÐ16È˻ظ´
291Çóµ÷¼Á
ÒѾÓÐ11È˻ظ´
¼ÆËã»ú22408 281·Ö£¬Çóµ÷¼Á
ÒѾÓÐ7È˻ظ´
316Çóµ÷¼Á
ÒѾÓÐ5È˻ظ´
Ò»Ö¾Ô¸Ö£ÖÝ´óѧ 22408 305·ÖÇóµ÷¼Á
ÒѾÓÐ5È˻ظ´
299Çóµ÷¼Á
ÒѾÓÐ8È˻ظ´
¸Ðл²ÎÓ룬ӦÖúÖ¸Êý +1
|
±¾ÌûÄÚÈݱ»ÆÁ±Î |
2Â¥2016-04-01 17:25:51
erictan2046
ͳæ (ÕýʽдÊÖ)
|
3Â¥2016-04-02 03:03:32
renemengfei
ͳæ (СÓÐÃûÆø)
- Ó¦Öú: 6 (Ó×¶ùÔ°)
- ½ð±Ò: 59.4
- É¢½ð: 40
- ºì»¨: 4
- Ìû×Ó: 254
- ÔÚÏß: 71.3Сʱ
- ³æºÅ: 1996750
- ×¢²á: 2012-09-12
- רҵ: ¼ÆËãÊýѧÓë¿ÆÑ§¹¤³Ì¼ÆËã

4Â¥2016-04-05 10:11:38













»Ø¸´´ËÂ¥