| 查看: 448 | 回复: 0 | ||
[求助]
HIT组件户外测试I-V曲线异常相关问题
|
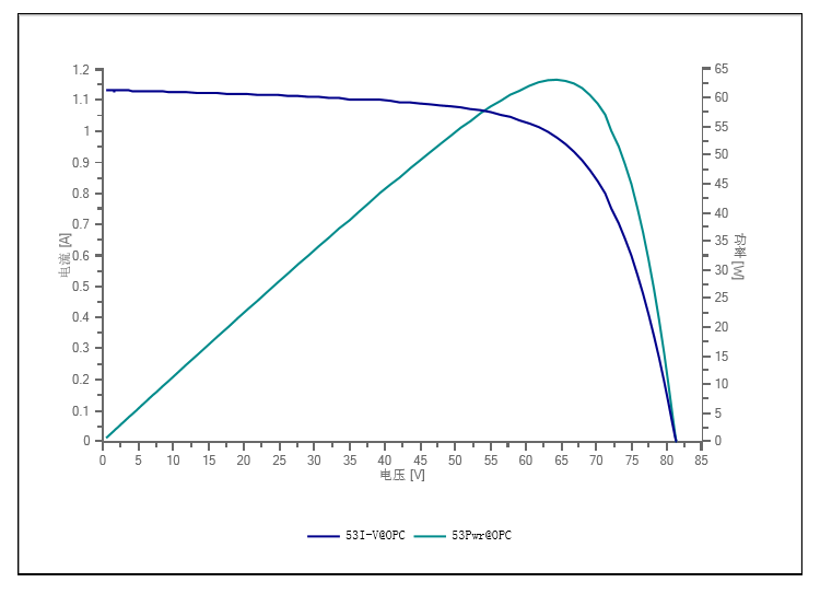
![]() 最近我们用意大利HT公司和一家日本公司生产的光伏电池I-V曲线测试仪户外测试HIT组件功率,发现I-V曲线都不对,麻烦各位大神找找原因。 注,测试与仪器设置无关,因为我们用仪器测试相近功率的多晶硅组件功率都正常,但就是测HIT组件I-V曲线不对。正常I-V曲线应该如下图: HIT.png xx.png |
» 猜你喜欢
版面费该交吗
已经有13人回复
体制内长辈说体制内绝大部分一辈子在底层,如同你们一样大部分普通教师忙且收入低
已经有15人回复
面上可以超过30页吧?
已经有6人回复
网上报道青年教师午睡中猝死、熬夜猝死的越来越多,主要哪些原因引起的?
已经有4人回复
为什么中国大学工科教授们水了那么多所谓的顶会顶刊,但还是做不出宇树机器人?
已经有10人回复
“人文社科而论,许多学术研究还没有达到民国时期的水平”
已经有5人回复
什么是人一生最重要的?
已经有4人回复















回复此楼