| 查看: 373 | 回复: 0 | ||
[求助]
稀疏化
|
|
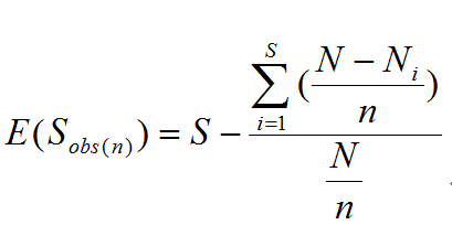
红外相机监测日与物种间的稀疏化 ; S为总监测日内出现的物种总数,N为总监测日,Ni为第i个物种出现的总的监测日,n为随机抽取的监测日(1到总监测日间)。 通过以上公式计算,不论n怎么变 ,结果不变。得出结果E应该为物种数,E应该随着n的变化而变化,为什么会不变呢,求各路大神解答。。。。请问我对公式的理解是否有误?或者公式是否有误? 360反馈意见截图16290613676995.png |
» 猜你喜欢
有院领导为了换新车,用横向课题经费买了俩车
已经有9人回复
酰胺脱乙酰基
已经有13人回复
博士延得我,科研能力直往上蹿
已经有8人回复
同年申请2项不同项目,第1个项目里不写第2个项目的信息,可以吗
已经有4人回复
有时候真觉得大城市人没有县城人甚至个体户幸福
已经有10人回复
天津大学招2026.09的博士生,欢迎大家推荐交流(博导是本人)
已经有5人回复
CSC & MSCA 博洛尼亚大学能源材料课题组博士/博士后招生|MSCA经费充足、排名优
已经有6人回复
面上项目申报
已经有3人回复
遇见不省心的家人很难过
已经有22人回复













回复此楼