| 查看: 1285 | 回复: 17 | ||
lcy307280052新虫 (初入文坛)
|
[求助]
求助溶剂问题 已有4人参与
|
|
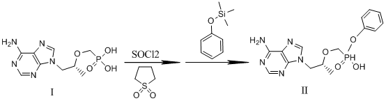
该反应使用2倍体积环丁砜做溶剂,2倍体积无法是原料分散均匀,使用5倍体积可是原料均匀分散牛奶状,但滴加氯化亚砜后体系有粘稠的团状物形成,无法反应,绿化过程中加入了少量DMF,求助两个问题: 一、2倍体积环丁砜虽无法分散原料,但滴加氯化亚砜后可以反应成为澄清体系,使用5倍体积环丁砜后为何会有团状黏球生成? 二、DMF在该反应中作用是什么? 1.png |
» 猜你喜欢
羧基修饰的磁性纳米颗粒表面生物素化推荐
已经有0人回复
脓毒症(盲肠结扎)
已经有22人回复
药物学论文润色/翻译怎么收费?
已经有227人回复
碳量子点
已经有2人回复
求助各位大佬,载药PLGA纳米粒易团聚该如何解决?
已经有0人回复
透明质酸 甲基丙烯酸酐
已经有0人回复
305材料专硕调剂
已经有12人回复
CSC改派-博士生交流访学
已经有19人回复
中山大学-第七医院-招科研助理1名(基因设计和克隆、RNA合成)
已经有0人回复
中山大学-第七医院-招科研助理1名(基因设计和克隆、RNA合成)
已经有1人回复
巴黎萨克雷大学与国家留学基金委合作博士研究生项目-脂质纳米药物/生物材料/多酚递送
已经有10人回复
zjutwangdong
新虫 (正式写手)
- 应助: 44 (小学生)
- 金币: 687.2
- 散金: 32
- 红花: 2
- 帖子: 760
- 在线: 572.8小时
- 虫号: 1335975
- 注册: 2011-07-02
- 性别: GG
- 专业: 绿色有机化学

2楼2016-03-31 12:43:01
wqjqrw576
银虫 (正式写手)
- 应助: 0 (幼儿园)
- 金币: 3414
- 散金: 385
- 帖子: 364
- 在线: 115.2小时
- 虫号: 466430
- 注册: 2007-11-23
- 性别: GG
- 专业: 有机合成
3楼2016-03-31 14:01:44
zhangrui1987
木虫 (正式写手)
- 应助: 29 (小学生)
- 金币: 1895.1
- 散金: 64
- 红花: 8
- 帖子: 565
- 在线: 488.4小时
- 虫号: 1112508
- 注册: 2010-10-01
- 性别: GG
- 专业: 合成药物化学

4楼2016-03-31 14:43:58
5楼2016-04-01 11:02:04
6楼2016-04-01 11:04:00
wqjqrw576
银虫 (正式写手)
- 应助: 0 (幼儿园)
- 金币: 3414
- 散金: 385
- 帖子: 364
- 在线: 115.2小时
- 虫号: 466430
- 注册: 2007-11-23
- 性别: GG
- 专业: 有机合成
7楼2016-04-01 11:10:00

8楼2016-04-01 14:21:47
lcy307280052
新虫 (初入文坛)
- 应助: 1 (幼儿园)
- 金币: 4.3
- 红花: 1
- 帖子: 47
- 在线: 4.7小时
- 虫号: 3307327
- 注册: 2014-07-04
- 专业: 合成药物化学
9楼2016-04-01 16:09:47
lcy307280052
新虫 (初入文坛)
- 应助: 1 (幼儿园)
- 金币: 4.3
- 红花: 1
- 帖子: 47
- 在线: 4.7小时
- 虫号: 3307327
- 注册: 2014-07-04
- 专业: 合成药物化学
10楼2016-04-01 16:11:47













回复此楼
