| ²é¿´: 3814 | »Ø¸´: 8 | |||
yQyqľ³æ (СÓÐÃûÆø)
|
[ÇóÖú]
VASP+PHONOPY¼ÆËãÉù×ÓÆ×ÓëÉù×Ó̬ÃܶȲ»¶ÔÓ¦ ÒÑÓÐ3È˲ÎÓë
|
|
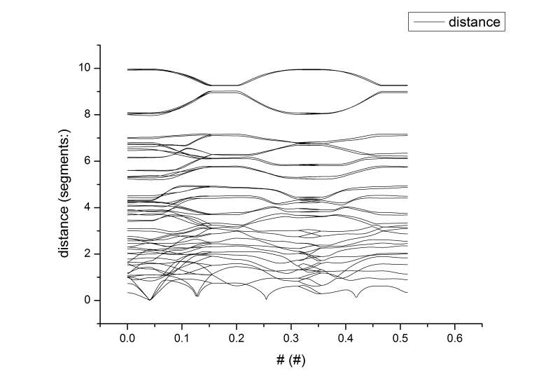
VASP+PHONOPY¼ÆËãÉù×ÓÆ×ÓëÉù×Ó̬ÃܶȲ»¶ÔÓ¦£¬ÔÚÉù×ÓÆ×ÉÏûÓÐÐ鯵£¬¶øÔÚÌ«ÃܶÈÉϳöÏÖÁ˸ºÆµÂʷ壬ÕâÊÇʲôÔÒòÔì³ÉµÄ£¡ 1.jpg 2.jpg |
» ÊÕ¼±¾ÌûµÄÌÔÌûר¼ÍƼö
µÚÒ»ÐÔÔÀí¼ÆËã-tg |
» ²ÂÄãϲ»¶
085600²ÄÁÏÓ뻯¹¤
ÒѾÓÐ6È˻ظ´
281Çóµ÷¼Á£¨0805£©
ÒѾÓÐ24È˻ظ´
265Çóµ÷¼Á
ÒѾÓÐ8È˻ظ´
0817 »¯Ñ§¹¤³Ì 299·ÖÇóµ÷¼Á ÓпÆÑоÀú ÓжþÇøÎÄÕÂ
ÒѾÓÐ21È˻ظ´
295²ÄÁÏÇóµ÷¼Á£¬Ò»Ö¾Ô¸Î人Àí¹¤085601ר˶
ÒѾÓÐ4È˻ظ´
0856µ÷¼Á£¬ÊÇѧУ¾ÍÈ¥
ÒѾÓÐ9È˻ظ´
298-Ò»Ö¾Ô¸Öйúũҵ´óѧ-Çóµ÷¼Á
ÒѾÓÐ9È˻ظ´
Çóµ÷¼Á
ÒѾÓÐ4È˻ظ´
ѧУÒѾÌá½»µ½NSFC£¬»¹ÄÜÐÞ¸ÄÂð£¿
ÒѾÓÐ7È˻ظ´
²ÄÁÏѧ˶297ÒѹýËÄÁù¼¶Çóµ÷¼ÁÍÆ¼ö
ÒѾÓÐ6È˻ظ´
ÂþÌìÆ®Ñ©
°æÖ÷ (ÖªÃû×÷¼Ò)
ÈÏÕæ×öÊ£¬Ì¤Êµ×öÈË
- 1STÇ¿Ìû: 1
- Ó¦Öú: 362 (˶ʿ)
- ¹ó±ö: 0.108
- ½ð±Ò: 16864.7
- É¢½ð: 13424
- ºì»¨: 392
- ɳ·¢: 2
- Ìû×Ó: 5766
- ÔÚÏß: 2306.3Сʱ
- ³æºÅ: 914852
- ×¢²á: 2009-11-27
- ÐÔ±ð: GG
- רҵ: ²ÄÁÏÎïÀí»¯Ñ§
- ¹ÜϽ: µÚÒ»ÐÔÔÀí
¡¾´ð°¸¡¿Ó¦Öú»ØÌû
¡ï ¡ï
¸Ðл²ÎÓ룬ӦÖúÖ¸Êý +1
µ°µ°Ð¡Í¯Ð¬: ½ð±Ò+2, лл½»Á÷ 2016-09-08 21:41:08
¸Ðл²ÎÓ룬ӦÖúÖ¸Êý +1
µ°µ°Ð¡Í¯Ð¬: ½ð±Ò+2, лл½»Á÷ 2016-09-08 21:41:08
| Ó¦¸ÃÊÇÓв¿·ÖÄÜ´øÃ»ÓÐÈ¡µ½¡£ |

2Â¥2016-03-29 22:20:19
3Â¥2016-03-29 22:31:17
yQyq
ľ³æ (СÓÐÃûÆø)
- Ó¦Öú: 0 (Ó×¶ùÔ°)
- ½ð±Ò: 3172.9
- Ìû×Ó: 128
- ÔÚÏß: 49.6Сʱ
- ³æºÅ: 1372307
- ×¢²á: 2011-08-19
- רҵ: ÎÞ»ú²ÄÁÏ»¯Ñ§
|
·Ç³£¸Ðл£¬ÎҸıäÁ˺ܶà´Îband.conf²ÎÊý£¬µ«ÊǶ¼Ã»ÓÐʲô±ä»¯£¬ÓÐûÓÐËÖªµÀ¾ßÌåÓ¦¸ÃÔõô×öÄØ£¿ ATOM_NAME = C N #EIGENVETORS = .TRUE. DIM = 3 3 1 #PRIMITIVE = 0.897510 0.0 -0.1663347 0.0 0.3624502 0.0 0.0 0.0 1.0 #DIAG = .FALSE. #PM = .TRUE. #SIGMA = 0.1 BAND = 0 0 1/2 0 0 0, 0 0 0 0 1/2 0, 0 1/2 0 -1/2 1/2 0, -1/2 1/2 0 -1/2 0 0, -1/2 0 0 -1/2 0 1/2, -1/2 0 1/2 -1/2 1/2 1/2, -1/2 1/2 1/2 0 1/2 1/2 #BAND_POINTS = 301 #BAND_CONNECTION = .TRUE. #BAND_LABELS = X \Gama L FORCE_CONSTANTS = READ #FC_SYMMETRY = 1 #ANIME = 4 5 20 |
4Â¥2016-03-30 08:08:46
С³æ³æLG
ľ³æ (ÕýʽдÊÖ)
- Ó¦Öú: 114 (¸ßÖÐÉú)
- ½ð±Ò: 1775.9
- É¢½ð: 1871
- ºì»¨: 25
- Ìû×Ó: 975
- ÔÚÏß: 678.5Сʱ
- ³æºÅ: 2128430
- ×¢²á: 2012-11-15
- ÐÔ±ð: GG
- רҵ: Äý¾Û̬ÎïÐÔ II £ºµç×ӽṹ
5Â¥2016-03-30 10:49:45
lfaitaoyao
½ð³æ (ÖøÃûдÊÖ)
- Ó¦Öú: 131 (¸ßÖÐÉú)
- ½ð±Ò: 4753.1
- É¢½ð: 558
- ºì»¨: 21
- Ìû×Ó: 1977
- ÔÚÏß: 212.1Сʱ
- ³æºÅ: 2735390
- ×¢²á: 2013-10-18
- רҵ: È˹¤¾§Ìå
¡¾´ð°¸¡¿Ó¦Öú»ØÌû
¡ï ¡ï
¸Ðл²ÎÓ룬ӦÖúÖ¸Êý +1
µ°µ°Ð¡Í¯Ð¬: ½ð±Ò+2, лл½»Á÷ 2016-09-08 21:41:22
¸Ðл²ÎÓ룬ӦÖúÖ¸Êý +1
µ°µ°Ð¡Í¯Ð¬: ½ð±Ò+2, лл½»Á÷ 2016-09-08 21:41:22
|
ÊDz»ÊÇÉùѧ֧ÓÐÐ鯵£¿¿´¿´Õñ¶¯Ä£Ê½·ÖÎöÀïÓÐûÓиºµÄ±¾Õ÷ƵÂÊ ·¢×ÔСľ³æAndroid¿Í»§¶Ë |

6Â¥2016-03-30 12:10:32
Î¬ÌØµÄÈÕ¼Ç
ľ³æ (СÓÐÃûÆø)
- Ó¦Öú: 7 (Ó×¶ùÔ°)
- ½ð±Ò: 3814.9
- ºì»¨: 2
- Ìû×Ó: 169
- ÔÚÏß: 55.5Сʱ
- ³æºÅ: 3159711
- ×¢²á: 2014-04-24
- רҵ: ¹¤³ÌÈÈÎïÀíÏà¹Ø½»²æÁìÓò
7Â¥2016-09-08 20:54:28
shengziwcc
гæ (³õÈëÎÄ̳)
- Ó¦Öú: 0 (Ó×¶ùÔ°)
- ½ð±Ò: 78.5
- Ìû×Ó: 9
- ÔÚÏß: 12.3Сʱ
- ³æºÅ: 5777947
- ×¢²á: 2017-02-28
- רҵ: Äý¾Û̬ÎïÐÔI:½á¹¹¡¢Á¦Ñ§ºÍ
8Â¥2017-05-03 12:45:55
ÂÀСǿǿ
гæ (ÕýʽдÊÖ)
- Ó¦Öú: 1 (Ó×¶ùÔ°)
- ½ð±Ò: 6498.9
- ºì»¨: 1
- Ìû×Ó: 866
- ÔÚÏß: 237.7Сʱ
- ³æºÅ: 2978560
- ×¢²á: 2014-02-19
- ÐÔ±ð: GG
- רҵ: Äý¾Û̬ÎïÐÔI:½á¹¹¡¢Á¦Ñ§ºÍ
9Â¥2018-01-18 17:25:36













»Ø¸´´ËÂ¥