| 查看: 2199 | 回复: 5 | ||||
[求助]
计算缺陷形成能随费米能级的变化关系时,不同电荷态如何确定的?已有3人参与
|
|
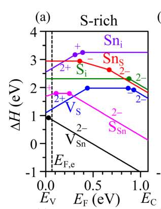
计算缺陷形成能随费米能级的变化关系时,看文献上涉及不同电荷态,就比如下图SnS的6种本征缺陷Vs,Vsn,Sni,Si,Sns,Ssn,各自的几种电荷态是怎么知道的?第一次发帖,期待虫友的帮助。 G}3I}WY$GC37L68ZW[C2)VS.png |
» 收录本帖的淘帖专辑推荐
带电掺杂体系形成能 | vasp计算资料 |
» 猜你喜欢
三甲基碘化亚砜的氧化反应
已经有4人回复
请问下大家为什么这个铃木偶联几乎不反应呢
已经有5人回复
请问有评职称,把科研教学业绩算分排序的高校吗
已经有5人回复
孩子确诊有中度注意力缺陷
已经有12人回复
2025冷门绝学什么时候出结果
已经有3人回复
天津工业大学郑柳春团队欢迎化学化工、高分子化学或有机合成方向的博士生和硕士生加入
已经有4人回复
康复大学泰山学者周祺惠团队招收博士研究生
已经有6人回复
AI论文写作工具:是科研加速器还是学术作弊器?
已经有3人回复
论文投稿,期刊推荐
已经有4人回复
硕士和导师闹得不愉快
已经有13人回复
2楼2016-04-30 09:09:02
tsglss
铁杆木虫 (著名写手)
- 应助: 41 (小学生)
- 金币: 6014.2
- 红花: 19
- 帖子: 1875
- 在线: 940小时
- 虫号: 321641
- 注册: 2007-03-11
- 性别: GG
- 专业: 凝聚态物性 II :电子结构

3楼2016-05-01 04:05:43
4楼2016-05-01 12:39:33
hy1987007
木虫 (著名写手)
- 应助: 12 (小学生)
- 金币: 20203.7
- 散金: 2
- 红花: 2
- 帖子: 2555
- 在线: 459小时
- 虫号: 1560286
- 注册: 2012-01-02
- 性别: GG
- 专业: 凝聚态物性 II :电子结构
5楼2016-05-03 14:07:26
6楼2016-05-18 11:30:04














回复此楼
紫色天空婵