±±¾©Ê¯ÓÍ»¯¹¤Ñ§Ôº2026ÄêÑо¿ÉúÕÐÉú½ÓÊÕµ÷¼Á¹«¸æ
²é¿´: 406  |  »Ø¸´: 1

jieladelsm04

Òø³æ (³õÈëÎÄ̳)

[ÇóÖú] Õâ¸ö¸ß´Î·½³Ì×éÊýѧģÐÍÔõôÇó½âÄØ£¿

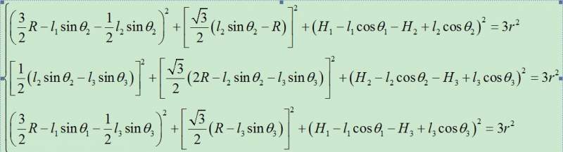
ÎÒµÄÊýѧģÐÍÊÇÀûÓÃÒ»¸ö·½³Ì×éÇó³ö¦È1£¬¦È2£¬¦È3µÄ±í´ïʽ¡£ÊýѧģÐÍÈçÉÏ´«µÄͼƬ¡£ÆäÖÐH1,H2,H3,l1,l2,l3,r,R¾ùΪÒÑÖª¡£¦È1£¬¦È2£¬¦È3ȡֵ·¶Î§Îª0-60¡ã¡£
ÎÒ±àдµÄÇó½âº¯ÊýÈçÏ£¬×ÜÊDZ¨´í£¬»¹Çë¸÷λ¸ßÊÖ°ïÖú
syms H1 H2 H3 l1 l2 l3 R r theta1 theta2 theta3
eq1=(3/2*R-l1.*sin(theta1)-1/2*l2.*sin(theta2)).^2+(sqrt(3)/2*(l2.*sin(theta2)-R))^2+(H1-l1.*cos(theta1)-H2+l2.*cos(theta2)).^2-3*(r.^2);
eq2=(1/2*(l2.*sin(theta2)-l3.*sin(theta3))).^2+(sqrt(3)/2*(2*R-l2.*sin(theta2)-l3.*sin(theta3))).^2+(H2-l2.*cos(theta2)-H3+l3.*cos(theta3)).^2-3*(r.^2);
eq3=(3/2*R-l1.*sin(theta1)-1/2*l3.*sin(theta3)).^2+(sqrt(3)/2*(R-l3.*sin(theta3))).^2+(H1-l1.*cos(theta1)-H3+l3.*cos(theta3)).^2-3*(r.^2);
theta0=[rand[1,3]*60]
f = matlabFunction([eq1;eq2;eq3],'vars',{[theta1 theta2 theta3]});
options=optimset('Display','iter','MaxFunEvals',1000,'TolFun',1e-10);
[x,fval,exitflag,output]=fsolve(f,theta0,options)

Õâ¸ö¸ß´Î·½³Ì×éÊýѧģÐÍÔõôÇó½âÄØ£¿
111.jpg
»Ø¸´´ËÂ¥

» ²ÂÄãϲ»¶

ÒÑÔÄ   »Ø¸´´ËÂ¥   ¹Ø×¢TA ¸øTA·¢ÏûÏ¢ ËÍTAºì»¨ TAµÄ»ØÌû

jieladelsm04

Òø³æ (³õÈëÎÄ̳)

ûÓÐÈË»áô£¿
2Â¥2016-03-29 10:24:55
ÒÑÔÄ   »Ø¸´´ËÂ¥   ¹Ø×¢TA ¸øTA·¢ÏûÏ¢ ËÍTAºì»¨ TAµÄ»ØÌû
Ïà¹Ø°æ¿éÌø×ª ÎÒÒª¶©ÔÄÂ¥Ö÷ jieladelsm04 µÄÖ÷Ìâ¸üÐÂ
×î¾ßÈËÆøÈÈÌûÍÆ¼ö [²é¿´È«²¿] ×÷Õß »Ø/¿´ ×îºó·¢±í
[¿¼ÑÐ] Çóµ÷¼Á +4 15064154688 2026-04-03 5/250 2026-04-03 15:07 by zrongyan
[¿¼ÑÐ] ÉúÎïѧ˶341Çóµ÷¼Á +4 ÄãЦÆðÀ´ÏñÔÆ¶ä 2026-04-03 4/200 2026-04-03 10:32 by macy2011
[¿¼ÑÐ] 338Çóµ÷¼Á£¬Ò»Ö¾Ô¸ÄÜÔ´¶¯Á¦£¬ÍâÓïÊÇÈÕÓï203 +5 zzz£¬£¬r 2026-04-02 5/250 2026-04-03 09:45 by À¶ÔÆË¼Óê
[¿¼ÑÐ] 343Çóµ÷¼Á085601 +5 ҪŬÁ¦Ñ§Ï°x 2026-03-29 6/300 2026-04-02 21:18 by 1104338198
[¿¼ÑÐ] Ò»Ö¾Ô¸ÉϺ£º£Ñó´óѧ083200ʳƷѧ˶£¬Çóµ÷¼Á£¬½ÓÊÜÆäËûרҵ +6 whatÕÅ 2026-04-01 7/350 2026-04-02 16:48 by zzsw+
[¿¼ÑÐ] 285Çóµ÷¼Á +14 AZMK 2026-04-02 14/700 2026-04-02 15:54 by ÉϾÅÌìÀ¿Ô£¨ºÃÔ
[¿¼ÑÐ] 311Çóµ÷¼Á +14 À¶ÔÂÁÁÁÁ 2026-03-30 14/700 2026-04-02 12:18 by 1753564080
[¿¼ÑÐ] 085900ÍÁľˮÀû336·ÖÇóµ÷¼Á +4 Zhangjiangj 2026-03-31 6/300 2026-04-02 11:40 by 1753564080
[¿¼ÑÐ] 271Çóµ÷¼Á +15 ÀÕ²¼ÀÊ@ 2026-03-31 20/1000 2026-04-02 11:24 by Sammy2
[¿¼ÑÐ] Ò»Ö¾Ô¸±±½»´ó²ÄÁϹ¤³Ì£¬×Ü·Ö358 +4 cs0106 2026-04-01 4/200 2026-04-02 07:42 by ÉÐË®¸óÖ÷
[¿¼ÑÐ] ²ÄÁϵ÷¼Á +12 Ò»ÑùYWY 2026-04-01 12/600 2026-04-02 00:21 by °ÙÃë¹âÄê
[¿¼ÑÐ] Ò»Ö¾Ô¸ ÄϾ©º½¿Õº½Ìì´óѧ £¬080500²ÄÁÏ¿ÆÑ§Ó빤³Ìѧ˶ +7 @taotao 2026-03-30 7/350 2026-04-01 14:30 by chenqifeng666
[¿¼ÑÐ] 326Çóµ÷¼Á +4 áÌáÌ×Ð 2026-03-31 4/200 2026-04-01 09:58 by ÎҵĴ¬Îҵĺ£
[¿¼ÑÐ] 318Ò»Ö¾Ô¸¼ªÁÖ´óѧÉúÎïÓëÒ½Ò© Çóµ÷¼Á +6 óÆÐÐÖÂÔ¶. 2026-03-28 6/300 2026-04-01 09:28 by oooqiao
[¿¼ÑÐ] ¿¼Ñе÷¼Á +9 СÀ¯ÐÂ±Ê 2026-03-29 10/500 2026-03-31 19:52 by Dyhoer
[¿¼ÑÐ] 254²ÄÁÏÓ뻯¹¤Çóµ÷¼Á +3 º²¶¬ÁÖéª 2026-03-30 4/200 2026-03-31 17:53 by yishunmin
[¿¼ÑÐ] 0856 335·Ö +9 cccchenso 2026-03-29 9/450 2026-03-31 16:37 by lishahe
[¿¼ÑÐ] Ò»Ö¾Ô¸Õã½­´óѧ¹¤¿Æ¶¯Á¦¹¤³Ì370,ÊýÒ»121,רҵ¿Î135£¬ÏÖÔÚÄÜÈ¥ÄÄÀï +3 080700µ÷¼Á 2026-03-30 4/200 2026-03-31 12:00 by KLMY666
[¿¼ÑÐ] 269Çóµ÷¼Á +4 ÎÒÏë¶ÁÑÐ11 2026-03-31 4/200 2026-03-31 10:04 by cal0306
[¿¼ÑÐ] 2026Ä껪ÄÏʦ·¶´óѧ»¶Ó­»¯Ñ§£¬»¯¹¤£¬ÉúÎÉúÒ½¹¤µÈרҵÓÅÐãѧ×Ó¼ÓÈ룡 +3 llss0711 2026-03-28 6/300 2026-03-29 10:26 by llss0711
ÐÅÏ¢Ìáʾ
ÇëÌî´¦ÀíÒâ¼û