| 查看: 443 | 回复: 1 | |
[求助]
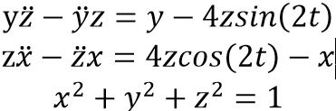
求教怎么用matlab解这个微分方程组
|
|
|
|
|
WanderingHeart铁杆木虫 (著名写手)
|
|
|
2楼2016-03-27 21:04:17
|
|













回复此楼