| 查看: 759 | 回复: 7 | |
dreamer_4312木虫 (正式写手)
|
[求助]
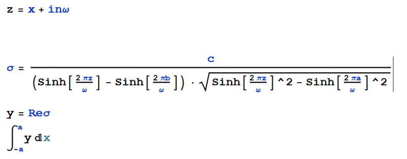
求大神帮忙求个积分
|
![]() |
|
|
|
|
dreamer_4312木虫 (正式写手) |
|
|
2楼2016-03-27 09:18:09
|
|
dreamer_4312木虫 (正式写手)
|
|
![]() |
|
|
3楼2016-03-27 10:53:00
|
|
dreamer_4312木虫 (正式写手)
|
|
![]() |
|
|
4楼2016-03-27 10:53:11
|
|
dreamer_4312木虫 (正式写手)
|
|
![]() |
|
|
5楼2016-03-28 16:34:31
|
|
|
6楼2016-03-28 17:03:36
|
|
dreamer_4312木虫 (正式写手)
|
|
![]() |
|
|
7楼2016-03-28 20:38:04
|
|
dreamer_4312木虫 (正式写手)
|
|
![]() |
|
|
8楼2016-03-28 21:13:59
|
|















,请各位大神指导
回复此楼


dreamer_4312