24小时热门版块排行榜    

查看: 286  |  回复: 0

zkylsf

木虫 (正式写手)

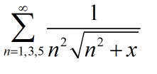
[求助] 级数求和问题

http://muchongimg.xmcimg.com/data/bcs/2016/0323/w213h3292203_1458725028_589.png
这个级数怎么求和

级数求和问题
级数求和.PNG
回复此楼

» 猜你喜欢

已阅   回复此楼   关注TA 给TA发消息 送TA红花 TA的回帖
相关版块跳转 我要订阅楼主 zkylsf 的主题更新
最具人气热帖推荐 [查看全部] 作者 回/看 最后发表
[考研] 328求调剂,英语六级551,有科研经历 +5 生物工程调剂 2026-03-17 9/450 2026-03-21 23:32 by zhujy1982
[考研] 材料 271求调剂 +5 展信悦_ 2026-03-21 5/250 2026-03-21 17:29 by 学员8dgXkO
[考研] 279分求调剂 一志愿211 +14 chaojifeixia 2026-03-19 15/750 2026-03-21 13:24 by zhukairuo
[考研] 301求调剂 +10 yy要上岸呀 2026-03-17 10/500 2026-03-21 03:14 by JourneyLucky
[考研] 083200学硕321分一志愿暨南大学求调剂 +3 innocenceF 2026-03-17 3/150 2026-03-21 02:35 by JourneyLucky
[考研] 一志愿南昌大学,327分,材料与化工085600 +9 Ncdx123456 2026-03-19 9/450 2026-03-20 23:41 by lovewei0727
[考研] 308求调剂 +3 阿姐阿姐家啊 2026-03-18 3/150 2026-03-20 23:24 by JourneyLucky
[考研] 一志愿南京理工大学085701资源与环境302分求调剂 +4 葵梓卫队 2026-03-18 6/300 2026-03-20 23:02 by JourneyLucky
[考研] 324求调剂 +5 lucky呀呀呀鸭 2026-03-20 5/250 2026-03-20 22:30 by 促天成
[考研] 298-一志愿中国农业大学-求调剂 +9 手机用户 2026-03-17 9/450 2026-03-20 14:24 by 无懈可击111
[考博] 申博26年 +3 八6八68 2026-03-19 3/150 2026-03-19 19:43 by nxgogo
[考研] 286求调剂 +6 lemonzzn 2026-03-16 10/500 2026-03-19 14:31 by lemonzzn
[考研] 材料工程专硕调剂 +5 204818@lcx 2026-03-17 6/300 2026-03-18 22:55 by 204818@lcx
[考研] 考研求调剂 +3 橘颂. 2026-03-17 4/200 2026-03-17 21:43 by 有只狸奴
[考研] 材料专硕326求调剂 +6 墨煜姒莘 2026-03-15 7/350 2026-03-17 17:10 by ruiyingmiao
[考研] 材料工程专硕274一志愿211求调剂 +6 薛云鹏 2026-03-15 6/300 2026-03-17 11:05 by 学员h26Tkc
[论文投稿] 有没有大佬发小论文能带我个二作 +3 增锐漏人 2026-03-17 4/200 2026-03-17 09:26 by xs74101122
[考研] 283求调剂 +3 听风就是雨; 2026-03-16 3/150 2026-03-17 07:41 by 热情沙漠
[考研] 机械专硕325,寻找调剂院校 +3 y9999 2026-03-15 5/250 2026-03-16 19:58 by y9999
[考研] 085601材料工程315分求调剂 +3 yang_0104 2026-03-15 3/150 2026-03-15 10:58 by peike
信息提示
请填处理意见