| 查看: 3630 | 回复: 0 | ||
lijiabao木虫 (正式写手)
|
[求助]
CV氧化还原峰
|
|
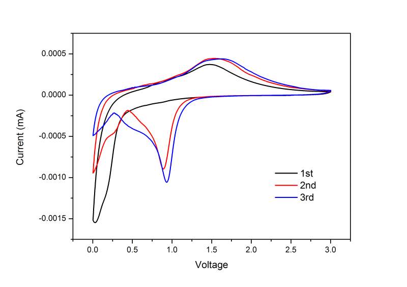
最近做了一个材料,组装成电池扫CV时,如图所示:发现在第一圈的时候没有出现明显的还原峰,只是在0-0.5V之间有一个很尖锐的峰, 但是在氧化过程出现一个氧化峰,后续的第2-3圈时,会有还原峰存在,这个该怎么解释啊,和文献做得不太一样。 初次接触电池,不知道该怎么解释? 谢谢大家帮忙! Graph1.jpg |
» 猜你喜欢
上海工程技术大学生态与功能纺织品开发研究团队招收学硕专硕研究生
已经有0人回复
华南理工0703求调剂,总分336四六级已过
已经有2人回复
分析化学论文润色/翻译怎么收费?
已经有106人回复
青岛大学化学化工学院2026年招收调剂硕士研究生
已经有0人回复
新能源材料方向考研调剂招生(长江师范学院)
已经有0人回复
0854电子信息272求调剂!
已经有0人回复
化学-化工-材料-食品-生物-环境2026年研究生调剂(可以不考数学)
已经有0人回复
化学-化工-材料-食品-生物-环境-农业 2026年研究生调剂(可以不考数学)
已经有1人回复
070300一志愿211,312分求调剂院校
已经有4人回复
26年储能、电池方向博士申请
已经有0人回复
070300化学求调剂
已经有2人回复
» 本主题相关商家推荐: (我也要在这里推广)















回复此楼