| 查看: 1044 | 回复: 3 | |
pisceslynn铁杆木虫 (小有名气)
|
[求助]
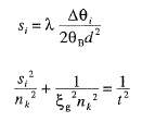
求解释TEM等厚条纹法计算厚度公式中各参数 已有1人参与
|
![]() |
|
|
|
|
huanghuasjtu木虫 (著名写手)
|
|
![]() |
|
|
2楼2016-03-22 10:53:33
|
|
pisceslynn铁杆木虫 (小有名气)
|
|
![]() |
|
|
3楼2016-03-22 11:20:01
|
|
ceshiyuan
|
|
|
4楼2016-03-24 23:06:50
|
|













回复此楼
