| 查看: 1377 | 回复: 14 | |
| 当前只显示满足指定条件的回帖,点击这里查看本话题的所有回帖 | |
[求助]
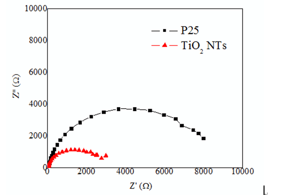
求助各路大神帮忙解析阻抗谱图啊已有1人参与
|
|
|
|
|
sylvain9木虫 (著名写手)
|
|
![]() |
|
|
13楼2016-03-24 15:17:55
|
|
| 查看全部 15 个回答 | |
![]() |
|
|
2楼2016-03-21 21:25:21
|
|
heihei2511铜虫 (正式写手)
|
|
|
3楼2016-03-22 06:06:28
|
|
|
4楼2016-03-22 11:49:34
|
|









什么?哪个阻抗小?阻抗小说明了什么?
回复此楼
