| ²é¿´: 1005 | »Ø¸´: 8 | ||
windtalk0606½ð³æ (ÕýʽдÊÖ)
|
[ÇóÖú]
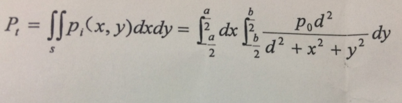
Çó½â·½³Ì ÒÑÓÐ1È˲ÎÓë
|
|
![]() |
||
|
|
||
houxrÒø³æ (ÕýʽдÊÖ)
|
||
|
2Â¥2016-03-21 17:51:49
|
|
|
windtalk0606½ð³æ (ÕýʽдÊÖ)
|
||
![]() |
||
|
3Â¥2016-03-21 18:03:59
|
|
|
houxrÒø³æ (ÕýʽдÊÖ)
|
||
|
4Â¥2016-03-21 19:06:56
|
|
|
windtalk0606½ð³æ (ÕýʽдÊÖ)
|
||
![]() |
||
|
5Â¥2016-03-21 19:55:35
|
|
|
Ò£¿ØÐ¡³ó½ð³æ (ÕýʽдÊÖ)
|
|
|
![]() |
||
|
6Â¥2016-03-21 20:07:03
|
|
|
windtalk0606½ð³æ (ÕýʽдÊÖ)
|
||
![]() |
||
|
7Â¥2016-03-21 20:23:14
|
|
|
houxrÒø³æ (ÕýʽдÊÖ)
|
||
|
8Â¥2016-03-21 21:02:46
|
|
|
windtalk0606½ð³æ (ÕýʽдÊÖ)
|
||
![]() |
||
|
9Â¥2016-03-21 21:13:05
|
|













»Ø¸´´ËÂ¥