24小时热门版块排行榜    

查看: 374  |  回复: 1

wabl

新虫 (小有名气)

[求助] Matlab中的编写相关系数问题

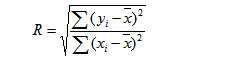
各位老师好,最近需要看一段计算相关系数的语句,由于实在是不懂,请老师们帮忙解答一下是不是能得到图2的结论,

Matlab中的编写相关系数问题
图片2.png


Matlab中的编写相关系数问题-1
图片3.png
回复此楼
已阅   回复此楼   关注TA 给TA发消息 送TA红花 TA的回帖

wabl

新虫 (小有名气)

上面说的有点问题,我是想问一下能不能从图片2得到图片3的结论,希望知道的老师指导一下,十分感谢。
2楼2016-03-20 23:08:54
已阅   回复此楼   关注TA 给TA发消息 送TA红花 TA的回帖
相关版块跳转 我要订阅楼主 wabl 的主题更新
最具人气热帖推荐 [查看全部] 作者 回/看 最后发表
[考研] 274求调剂 +10 S.H1 2026-03-18 10/500 2026-03-20 23:51 by JourneyLucky
[考研] 317求调剂 +5 申子申申 2026-03-19 9/450 2026-03-20 22:26 by JourneyLucky
[考研] 一志愿中南化学(0703)总分337求调剂 +8 niko- 2026-03-19 9/450 2026-03-20 21:57 by luoyongfeng
[考研] 求调剂一志愿南京航空航天大学289分 +3 @taotao 2026-03-19 3/150 2026-03-20 21:34 by JourneyLucky
[考研] 求调剂 +5 Mqqqqqq 2026-03-19 5/250 2026-03-20 20:46 by zhukairuo
[考研] 环境工程调剂 +9 大可digkids 2026-03-16 9/450 2026-03-20 17:38 by 醉在风里
[考研] 266求调剂 +5 阳阳哇塞 2026-03-14 10/500 2026-03-19 15:08 by 阳阳哇塞
[考研] 材料与化工求调剂 +7 为学666 2026-03-16 7/350 2026-03-19 14:48 by 尽舜尧1
[考研] 材料考研调剂 +3 xwt。 2026-03-19 3/150 2026-03-19 11:22 by w沐阳w
[考研] 0817调剂 +3 没有答案_ 2026-03-14 3/150 2026-03-19 09:51 by Xu de nuo
[考研] 【同济软件】软件(085405)考研求调剂 +3 2026eternal 2026-03-18 3/150 2026-03-18 19:09 by 搏击518
[考研] 070300化学319求调剂 +6 锦鲤0909 2026-03-17 6/300 2026-03-18 13:22 by Iveryant
[考研] 304求调剂 +12 小熊joy 2026-03-14 13/650 2026-03-18 12:34 by Linda Hu
[考研] 301求调剂 +4 A_JiXing 2026-03-16 4/200 2026-03-17 17:32 by ruiyingmiao
[考研] 275求调剂 +4 太阳花天天开心 2026-03-16 4/200 2026-03-17 10:53 by 功夫疯狂
[考研] [导师推荐]西南科技大学国防/材料导师推荐 +3 尖角小荷 2026-03-16 6/300 2026-03-16 23:21 by 尖角小荷
[考研] 0854控制工程 359求调剂 可跨专业 +3 626776879 2026-03-14 9/450 2026-03-16 17:42 by 626776879
[考研] 070303 总分349求调剂 +3 LJY9966 2026-03-15 5/250 2026-03-16 14:24 by xwxstudy
[考研] 中科大材料与化工319求调剂 +3 孟鑫材料 2026-03-14 3/150 2026-03-14 20:10 by ms629
[考研] 297一志愿上交085600求调剂 +5 指尖八千里 2026-03-14 5/250 2026-03-14 17:26 by a不易
信息提示
请填处理意见