24小时热门版块排行榜    

查看: 347  |  回复: 0

李敏镐

铁虫 (小有名气)

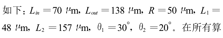
[求助] 用workbench画微喷嘴模型

用workbench中的design modeler画微喷嘴二维模型,这个半扩张角和半收缩角怎么画啊?如果画三维的该用哪个命令?附件是模型图和尺寸参数。谢谢

用workbench画微喷嘴模型
微喷嘴.png


用workbench画微喷嘴模型-1
尺寸.png
回复此楼
已阅   回复此楼   关注TA 给TA发消息 送TA红花 TA的回帖
相关版块跳转 我要订阅楼主 李敏镐 的主题更新
最具人气热帖推荐 [查看全部] 作者 回/看 最后发表
[考研] 344求调剂 +3 desto 2026-03-24 3/150 2026-03-24 10:09 by 搏击518
[考研] 【考研调剂】化学专业 281分,一志愿四川大学,诚心求调剂 +12 吃吃吃才有意义 2026-03-19 13/650 2026-03-24 10:06 by NCUT_Yu
[考研] 求调剂 +7 十三加油 2026-03-21 7/350 2026-03-23 23:48 by 热情沙漠
[考研] 085600材料与化工调剂 +7 A-哆啦Z梦 2026-03-23 12/600 2026-03-23 23:16 by 星空星月
[考研] 336化工调剂 +4 王大坦1 2026-03-23 5/250 2026-03-23 18:32 by allen-yin
[考研] 306求调剂 +9 chuanzhu川烛 2026-03-18 9/450 2026-03-23 13:17 by luoyongfeng
[考研] 工科材料085601 279求调剂 +8 困于星晨 2026-03-17 10/500 2026-03-23 13:05 by 醉在风里
[考研] 求调剂一志愿海大,0703化学学硕304分,有大创项目,四级已过 +6 幸运哩哩 2026-03-22 10/500 2026-03-22 20:10 by edmund7
[考研] 一志愿中南化学(0703)总分337求调剂 +9 niko- 2026-03-19 10/500 2026-03-22 16:08 by ColorlessPI
[考研] 324求调剂 +6 lucky呀呀呀鸭 2026-03-20 6/300 2026-03-22 16:01 by ColorlessPI
[考研] 一志愿南大,0703化学,分数336,求调剂 +3 收到VS 2026-03-21 3/150 2026-03-21 18:42 by 学员8dgXkO
[考研] 278求调剂 +9 烟火先于春 2026-03-17 9/450 2026-03-21 17:47 by 学员8dgXkO
[考研] 297求调剂 +11 戏精丹丹丹 2026-03-17 12/600 2026-03-21 17:47 by ColorlessPI
[考研] 307求调剂 +3 余意卿 2026-03-18 3/150 2026-03-21 17:31 by ColorlessPI
[考研] 266求调剂 +3 哇呼哼呼哼 2026-03-20 3/150 2026-03-21 16:46 by barlinike
[考研] 一志愿南昌大学,327分,材料与化工085600 +9 Ncdx123456 2026-03-19 9/450 2026-03-20 23:41 by lovewei0727
[考研] 0817 化学工程 299分求调剂 有科研经历 有二区文章 +22 rare12345 2026-03-18 22/1100 2026-03-20 20:39 by zhukairuo
[考研] 一志愿西安交通大学 学硕 354求调剂211或者双一流 +3 我想要读研究生 2026-03-20 3/150 2026-03-20 20:13 by JourneyLucky
[考研] 生物学调剂招人!!! +3 山海天岚 2026-03-17 4/200 2026-03-19 21:34 by 怎么释怀
[硕博家园] 湖北工业大学 生命科学与健康学院-课题组招收2026级食品/生物方向硕士 +3 1喜春8 2026-03-17 5/250 2026-03-17 17:18 by ber川cool子
信息提示
请填处理意见