24小时热门版块排行榜    

北京石油化工学院2026年研究生招生接收调剂公告
查看: 159  |  回复: 0

武兰er

超级版主

优秀!!有木有!!!优秀!!有木有!!!优秀!!有木有!!!优秀!!有木有!!!

[求助] 表面活性剂

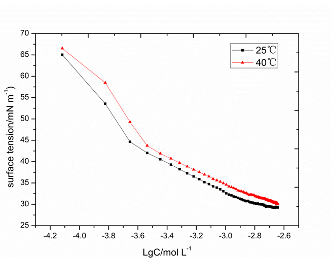
做出表面张力和lgc的曲线如下图,能说明他没形成胶束或者形成胶束了吗?

表面活性剂
2QN~7YXLRU%CV_QR_]BFIOQ.png
回复此楼

» 猜你喜欢

已阅   回复此楼   关注TA 给TA发消息 送TA红花 TA的回帖
相关版块跳转 我要订阅楼主 武兰er 的主题更新
最具人气热帖推荐 [查看全部] 作者 回/看 最后发表
[考研] 304求调剂 +11 素年祭语 2026-03-31 14/700 2026-04-01 21:10 by 赖春艳
[考研] 材料调剂 +9 一样YWY 2026-03-31 9/450 2026-04-01 21:07 by 赖春艳
[考研] 一志愿北交大材料工程,总分358 +3 cs0106 2026-04-01 3/150 2026-04-01 20:15 by wxiongid
[考研] 303分 0807学硕求调剂 +3 TYC3632 2026-04-01 3/150 2026-04-01 19:24 by lwk2004
[考研] 省双一流重点一本大学招收调剂 +4 wwwwffffff 2026-03-31 7/350 2026-04-01 15:23 by wwwwffffff
[考研] 环境工程调剂 +9 hyzzzzzzz. 2026-04-01 9/450 2026-04-01 14:20 by salamander`
[考研] 324求调剂 +4 想上学求调 2026-04-01 5/250 2026-04-01 14:19 by ZXlzxl0425
[考研] 085600,321分求调剂 +13 大馋小子 2026-03-31 13/650 2026-04-01 12:35 by chemdavid
[考研] 考研调剂 +11 Amber00 2026-03-31 11/550 2026-04-01 11:32 by wangjy2002
[考研] 0856材料化工调剂 总分330 +18 zhubinhao 2026-03-27 18/900 2026-04-01 09:37 by oooqiao
[考研] 求调剂:085600材料与化工,考材科基,总分319 +17 678lucky 2026-03-31 21/1050 2026-04-01 01:40 by 1018329917
[考研] 一志愿南师大0703化学 275求调剂 +5 Ripcord上岸 2026-03-27 5/250 2026-03-31 19:52 by mg1014
[考研] 已决定调剂院校 +8 JKSOIID 2026-03-26 8/400 2026-03-31 19:51 by mg1014
[考研] 求调剂 生物学 377分 +6 zzll03 2026-03-31 6/300 2026-03-31 17:33 by 唐沐儿
[考研] 一志愿西电085401数一英一299求调剂 六级521 +4 爱吃大鸭梨 2026-03-31 4/200 2026-03-31 11:51 by 搏击518
[考研] 08工科求调剂286 +5 tgs_001 2026-03-28 5/250 2026-03-31 08:18 by 一只好果子?
[考研] 281求调剂 +5 亚克西good 2026-03-26 7/350 2026-03-30 20:42 by dophin1985
[考研] 0703化学321分求调剂 +10 三dd. 2026-03-30 11/550 2026-03-30 19:24 by markhwc
[考研] 283求调剂(080500) +14 A child 2026-03-27 14/700 2026-03-30 12:06 by 探123
[考研] 081200-11408-276学硕求调剂 +6 崔wj 2026-03-26 6/300 2026-03-29 01:11 by hanserlol
信息提示
请填处理意见