| ²é¿´: 1316 | »Ø¸´: 7 | ||||
1275322766гæ (³õÈëÎÄ̳)
|
[ÇóÖú]
matlab½â·½³Ì ÒÑÓÐ1È˲ÎÓë
|
|
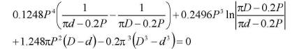
´Ë·½³ÌÔõôÔÚmatlab±à³ÌÇó½â£¬ÎÒÓÃsolve¾ÍµÃÒ»¸ö¸ºÖµ£¬ºÃÏñÊÇ´íµÄ£¡Çó´óÉñ°ïæд¸ö³ÌÐò£¡±¾È˲»ÉÆÓÃmatlab£¡ 1.png |
» ²ÂÄãϲ»¶
ÇëÎÊ»¹ÓÐûÓÐÓÃLatexдÎÄÕµÄС»ï°éÃÇ£¿
ÒѾÓÐ0È˻ظ´
¹âѧ¹¤³Ìѧ˶µ÷¼ÁÐÅÏ¢
ÒѾÓÐ32È˻ظ´
ÎïÀíѧIÂÛÎÄÈóÉ«/·ÒëÔõôÊÕ·Ñ?
ÒѾÓÐ67È˻ظ´
»¶Ó¼ÓÈë¿ÎÌâ×é
ÒѾÓÐ0È˻ظ´
É¢½ð±Ò£¬ÇóºÃÔË£¬×£ÃæÉÏ˳Àû£¡
ÒѾÓÐ78È˻ظ´
»ª¶«Ê¦·¶´óѧоƬÉè¼ÆÐìççÕæÊµË®Æ½Õ¦Ñù
ÒѾÓÐ1È˻ظ´
µ÷¼Á
ÒѾÓÐ0È˻ظ´
¡¾ÐÂ¼ÓÆÂ¡¿ÄÉÃ×µç×ÓÆ÷¼þÏîÄ¿×éÓС°ÁªºÏÅàÑø²©Ê¿Éú¡±Ãû¶î
ÒѾÓÐ0È˻ظ´
Öе²©Ê¿ºó2026ÏîÄ¿5ÔÂ30ÈÕ½ØÖ¹- ¹úÄÚ²©Ê¿ºóÈëÕ¾¡¢µÂ¹úÁ½Äêȫְ
ÒѾÓÐ0È˻ظ´
ÃæÏòÈ«ÇòÉêÇëÈ˵ÄÖе²©Ê¿ºó2026ÏîÄ¿5ÔÂ30ÈÕ½ØÖ¹- ¹úÄÚ²©ºóÈëÕ¾µÂ¹úÁ½Äêȫְ
ÒѾÓÐ0È˻ظ´
¡¾ÐÂ¼ÓÆÂ¡¿ÄÉÃ×µç×ÓÆ÷¼þÏîÄ¿×éÓС°ÁªºÏÅàÑø²©Ê¿Éú¡±Ãû¶î
ÒѾÓÐ2È˻ظ´
1275322766
гæ (³õÈëÎÄ̳)
- Ó¦Öú: 0 (Ó×¶ùÔ°)
- ½ð±Ò: 614.5
- ºì»¨: 1
- Ìû×Ó: 17
- ÔÚÏß: 10Сʱ
- ³æºÅ: 3450917
- ×¢²á: 2014-09-30
- רҵ: ´«¶¯»úеѧ
2Â¥2016-03-20 10:18:01
yuansen
ľ³æ (ÖøÃûдÊÖ)
- Ó¦Öú: 0 (Ó×¶ùÔ°)
- ½ð±Ò: 3543.5
- É¢½ð: 20
- Ìû×Ó: 1486
- ÔÚÏß: 144.6Сʱ
- ³æºÅ: 1428837
- ×¢²á: 2011-10-06
- רҵ: »úе½á¹¹Ç¿¶Èѧ
3Â¥2016-03-21 00:52:37
yuansen
ľ³æ (ÖøÃûдÊÖ)
- Ó¦Öú: 0 (Ó×¶ùÔ°)
- ½ð±Ò: 3543.5
- É¢½ð: 20
- Ìû×Ó: 1486
- ÔÚÏß: 144.6Сʱ
- ³æºÅ: 1428837
- ×¢²á: 2011-10-06
- רҵ: »úе½á¹¹Ç¿¶Èѧ
4Â¥2016-03-24 00:12:44
ÔÂÖ»À¶
Ö÷¹ÜÇø³¤ (Ö°Òµ×÷¼Ò)
-

ר¼Ò¾Ñé: +1059 - ¼ÆËãÇ¿Ìû: 8
- Ó¦Öú: 1712 (½²Ê¦)
- ¹ó±ö: 8.888
- ½ð±Ò: 68127.7
- É¢½ð: 1938
- ºì»¨: 443
- ɳ·¢: 4
- Ìû×Ó: 4373
- ÔÚÏß: 3291.4Сʱ
- ³æºÅ: 1122189
- ×¢²á: 2010-10-14
- רҵ: ÓîÖæÑ§
- ¹ÜϽ: ¼ÆËãÄ£ÄâÇø
¡¾´ð°¸¡¿Ó¦Öú»ØÌû
¡ï ¡ï ¡ï ¡ï ¡ï ¡ï ¡ï ¡ï ¡ï ¡ï
1275322766: ½ð±Ò+10, ¡ï¡ï¡ïºÜÓаïÖú 2016-03-25 09:34:54
1275322766: ½ð±Ò+10, ¡ï¡ï¡ïºÜÓаïÖú 2016-03-25 09:34:54
|
x = 1.0e-003 * 0.001238815125239 0.632354921061680 ²Ð²îfval = 1.0e-005 * 0.000063053264693 -0.145570151313058 |

5Â¥2016-03-24 13:09:52
1275322766
гæ (³õÈëÎÄ̳)
- Ó¦Öú: 0 (Ó×¶ùÔ°)
- ½ð±Ò: 614.5
- ºì»¨: 1
- Ìû×Ó: 17
- ÔÚÏß: 10Сʱ
- ³æºÅ: 3450917
- ×¢²á: 2014-09-30
- רҵ: ´«¶¯»úеѧ
6Â¥2016-03-25 09:35:35
ÔÂÖ»À¶
Ö÷¹ÜÇø³¤ (Ö°Òµ×÷¼Ò)
-

ר¼Ò¾Ñé: +1059 - ¼ÆËãÇ¿Ìû: 8
- Ó¦Öú: 1712 (½²Ê¦)
- ¹ó±ö: 8.888
- ½ð±Ò: 68127.7
- É¢½ð: 1938
- ºì»¨: 443
- ɳ·¢: 4
- Ìû×Ó: 4373
- ÔÚÏß: 3291.4Сʱ
- ³æºÅ: 1122189
- ×¢²á: 2010-10-14
- רҵ: ÓîÖæÑ§
- ¹ÜϽ: ¼ÆËãÄ£ÄâÇø

7Â¥2016-03-25 12:28:34
yuansen
ľ³æ (ÖøÃûдÊÖ)
- Ó¦Öú: 0 (Ó×¶ùÔ°)
- ½ð±Ò: 3543.5
- É¢½ð: 20
- Ìû×Ó: 1486
- ÔÚÏß: 144.6Сʱ
- ³æºÅ: 1428837
- ×¢²á: 2011-10-06
- רҵ: »úе½á¹¹Ç¿¶Èѧ
8Â¥2016-04-03 11:21:41













»Ø¸´´ËÂ¥

