| 查看: 1827 | 回复: 0 | ||
lymmaotou金虫 (正式写手)
|
[求助]
开路电压-时间的光响应曲线能说明什么问题
|
|
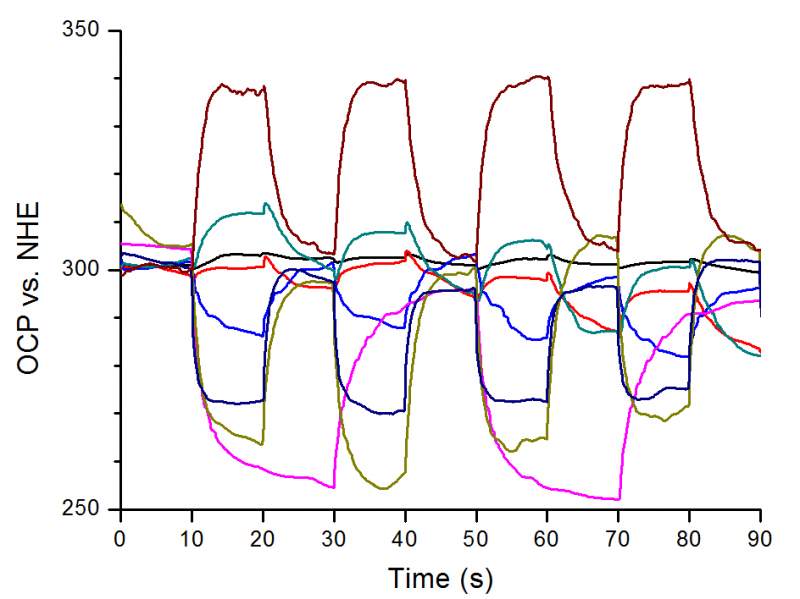
我制备了一批能带不同的异质结光电极,用三电极法在电化学工作站上测试OCP-time的光照响应曲线,溶液用的碘离子的乙腈溶液。测得的结果是OCP响应的大小不一样,而且有的OCP上升有的下降,请问大家OCP响应到底能说明电极的什么性质?OCP上升和下降,对应能级结构的时,表示发生了怎样的变化呢? OCP.jpg |
» 本帖@通知
» 猜你喜欢
德国Karlsruhe Institute of Technology招收电化学储能及联合培养CSC博士
已经有1人回复
固态锂金属电池迁移数计算求助
已经有1人回复
分析化学论文润色/翻译怎么收费?
已经有280人回复
荷兰奈梅亨大学赵文博与Galimberti课题组招收理论计算CSC博士 2000 欧元/月+房补
已经有0人回复
26储能博士申请自荐
已经有23人回复
上海交通大学--宁波东方理工大学电池方向博士招生
已经有10人回复
海南大学全国重点实验室杨金霖老师招收储能电池方向博士生(2026年3月报名,9月入学)
已经有2人回复
海南师范大学2026年博士研究生招收 (在职想提升学历人员可报考) 申请考核制+普通招考
已经有1人回复
申博求助
已经有0人回复
JACS投稿
已经有0人回复
26年储能、电池方向博士申请
已经有0人回复













回复此楼