| 查看: 2652 | 回复: 2 | ||
[求助]
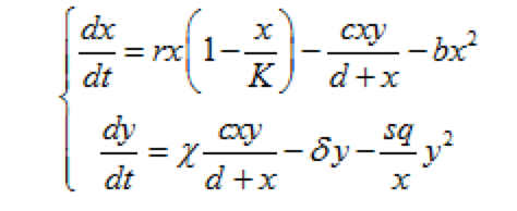
matlab 常微分方程组参数拟合 已有1人参与
|
|
希望大神相助, 发自小木虫IOS客户端 |
» 猜你喜欢
售SCI一区文章,我:8 O5 51O 54,科目齐全
已经有4人回复
售SCI一区文章,我:8 O5 51O 54,科目齐全
已经有4人回复
售SCI一区文章,我:8 O5 51O 54,科目齐全
已经有5人回复
售SCI一区文章,我:8 O5 51O 54,科目齐全
已经有4人回复
博士延得我,科研能力直往上蹿
已经有8人回复
有院领导为了换新车,用横向课题经费买了俩车
已经有7人回复
酰胺脱乙酰基
已经有12人回复
同年申请2项不同项目,第1个项目里不写第2个项目的信息,可以吗
已经有4人回复
有时候真觉得大城市人没有县城人甚至个体户幸福
已经有10人回复
天津大学招2026.09的博士生,欢迎大家推荐交流(博导是本人)
已经有5人回复
dingd
铁杆木虫 (职业作家)
- 应助: 1641 (讲师)
- 金币: 15037.3
- 散金: 101
- 红花: 234
- 帖子: 3410
- 在线: 1223.7小时
- 虫号: 291104
- 注册: 2006-10-28
2楼2016-03-20 13:38:37
3楼2016-03-21 01:26:14













回复此楼
