| ²é¿´: 429 | »Ø¸´: 1 | ||||
jlu_lx¾èÖú¹ó±ö (³õÈëÎÄ̳)
|
[ÇóÖú]
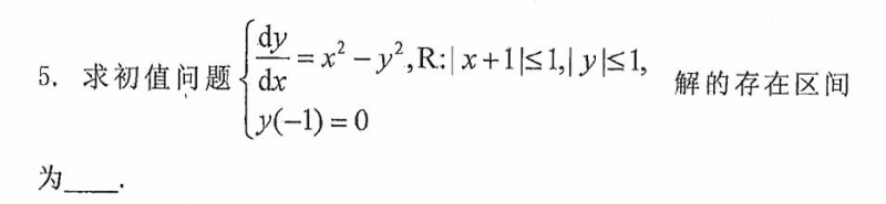
΢·Ö·½³Ì ÒÑÓÐ1È˲ÎÓë
|
|||
![]() |
||||
|
|
||||
wurongjunר¼Ò¹ËÎÊ (Ö°Òµ×÷¼Ò)
|
¡¾´ð°¸¡¿Ó¦Öú»ØÌû
¡ï ¡ï ¡ï ¡ï ¡ï ¡ï ¡ï ¡ï ¡ï ¡ï
¸Ðл²ÎÓ룬ӦÖúÖ¸Êý +1 jlu_lx: ½ð±Ò+10, ¡ï¡ï¡ïºÜÓаïÖú 2016-03-20 21:52:57
|
|||
![]() |
||||
|
2Â¥2016-03-19 20:58:31
|
|













»Ø¸´´ËÂ¥

20