| 查看: 2883 | 回复: 0 | ||
[求助]
关于MATLAB求解动力学方程
|
|
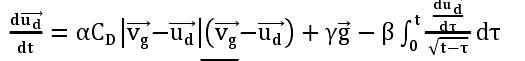
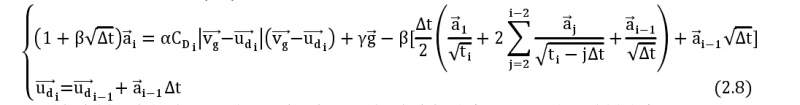
这个问题困扰我多时了,看了很多论文,也试着用一些方法来求解,仍然没有解决,有哪位虫友可以帮忙解决吗? 动力学方程如下所示: Basset1.jpg 这个方程难解主要是因为后面的积分项,将其利用梯形公式近似,然后采用向前欧拉法离散为一下形式: Basset.jpg 那么这个方程怎么写代码呢? |
» 猜你喜欢
投稿Elsevier的Neoplasia杂志,到最后选publishing options时页面空白,不能完成投稿
已经有22人回复
申请26博士
已经有5人回复
职称评审没过,求安慰
已经有22人回复
垃圾破二本职称评审标准
已经有15人回复
EST投稿状态问题
已经有7人回复
毕业后当辅导员了,天天各种学生超烦
已经有4人回复
聘U V热熔胶研究人员
已经有10人回复
求助文献
已经有3人回复
投稿返修后收到这样的回复,还有希望吗
已经有8人回复
三无产品还有机会吗
已经有6人回复













回复此楼