| 查看: 568 | 回复: 2 | ||||
lvcong358专家顾问 (著名写手)
|
[求助]
请问下式求出的是热量还是热容 已有2人参与
|
|
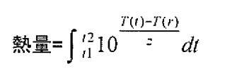
如附件中所示的式子,求出来的是热量还是热容?式中,z=5、T(r)=54、T(t)=所测定的温度。 由于式子中左边是“热量”,但是客户提供的对应英文则是“heat capacity”,因此不知道应该把这个日语的“热量”直接翻译为热量,还是翻译为热容。 请大侠们赐教,谢谢! pig.jpg |
» 猜你喜欢
什么脱膜剂可以完全清洗干净啊?
已经有2人回复
暨南大学化学与材料学院赵宇亮院士正在招博士和博后,方向为生物材料和纳米医学
已经有1人回复
有机高分子材料论文润色/翻译怎么收费?
已经有77人回复
可生物降解聚酯正在重塑现代医疗器械
已经有0人回复
26届博士申请
已经有2人回复
PLLA 微球在生物医学领域的研究与应用
已经有1人回复
PLLA 微球的材料特性与制备工艺解析
已经有0人回复
医用聚己内酯(PCL)全解析:从两段式降解到组织工程应用
已经有0人回复
反相硅胶如何再生?
已经有1人回复

★
感谢参与,应助指数 +1
青若: 金币+1, 谢谢回帖 2016-03-17 00:19:50
感谢参与,应助指数 +1
青若: 金币+1, 谢谢回帖 2016-03-17 00:19:50
|
本帖内容被屏蔽 |
2楼2016-03-16 22:10:48
Hana蜜
木虫 (著名写手)
- 应助: 33 (小学生)
- 金币: 2277.7
- 红花: 30
- 帖子: 1074
- 在线: 149.2小时
- 虫号: 4049290
- 注册: 2015-09-02
- 专业: 生理生态学
3楼2016-03-19 19:43:18














回复此楼